Официальное опубликование правовых актов
ОФИЦИАЛЬНОЕ ОПУБЛИКОВАНИЕ
Приказ министерства тарифного регулирования Воронежской области от 23.11.2023 № 57/25
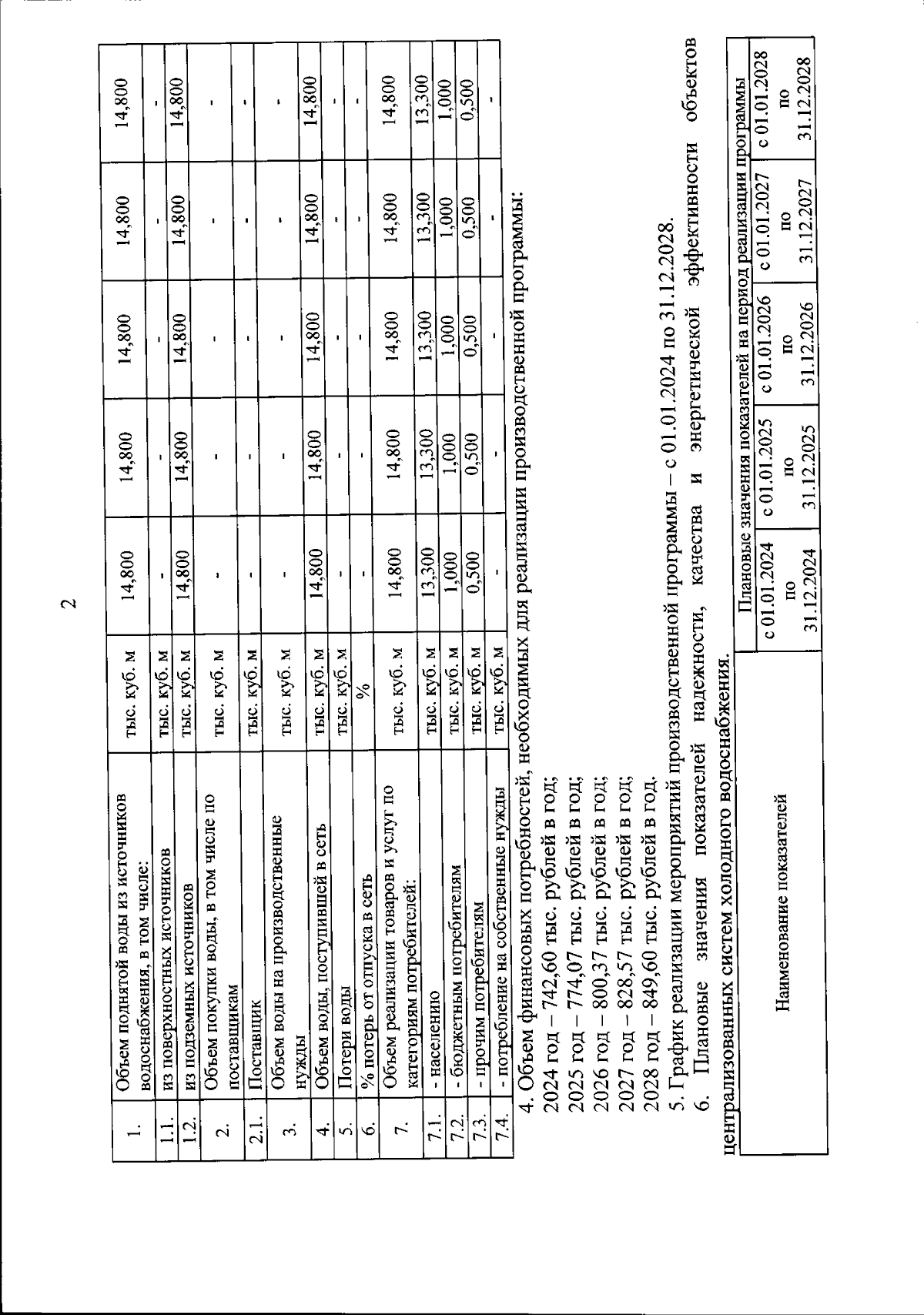
"Об установлении долгосрочных параметров регулирования деятельности и тарифов на питьевую воду (питьевое водоснабжение) для общества с ограниченной ответственностью "Гремяченский Коммунальный Центр", осуществляющего холодное водоснабжение потребителей в границах Костёнского сельского поселения Хохольского муниципального района Воронежской области, на период 2024-2028 годов"
(Зарегистрирован 29.11.2023 № 1609)
Номер опубликования: 3601202311300021
Дата опубликования: 30.11.2023
Страница №4 из 7:
Увеличить