Официальное опубликование правовых актов
ОФИЦИАЛЬНОЕ ОПУБЛИКОВАНИЕ
Приказ министерства архитектуры и градостроительства Воронежской области от 13.11.2023 № 45-01-04/1120
"О внесении изменений в правила землепользования и застройки Истобинского сельского поселения Репьёвского муниципального района Воронежской области"
(Зарегистрирован 22.11.2023 № 1522)
Номер опубликования: 3601202311290008
Дата опубликования: 29.11.2023
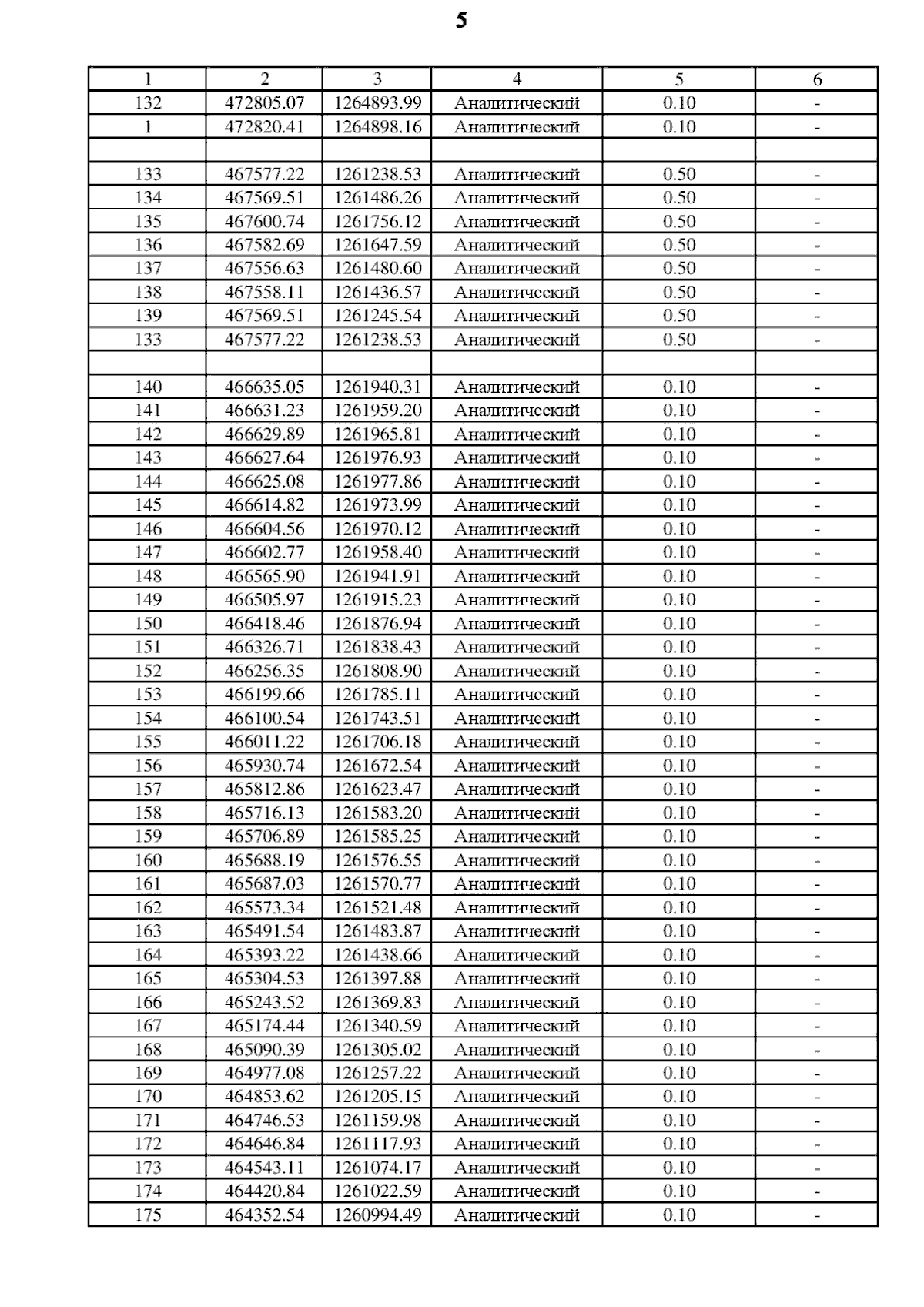
Страница №61 из 66:
Увеличить