Официальное опубликование правовых актов
ОФИЦИАЛЬНОЕ ОПУБЛИКОВАНИЕ
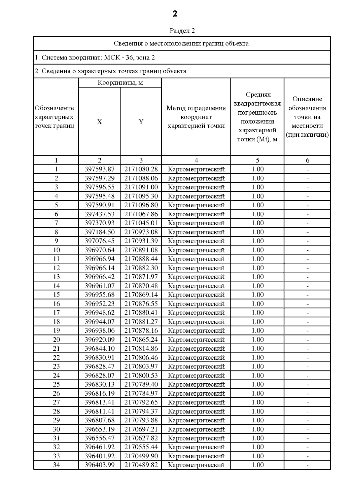
Приказ министерства архитектуры и градостроительства Воронежской области от 13.11.2023 № 45-01-04/1119
"О внесении изменений в правила землепользования и застройки Воронцовского сельского поселения Павловского муниципального района Воронежской области"
(Зарегистрирован 22.11.2023 № 1524)
Номер опубликования: 3601202311290007
Дата опубликования: 29.11.2023
Страница №15 из 89:
Увеличить