Официальное опубликование правовых актов
ОФИЦИАЛЬНОЕ ОПУБЛИКОВАНИЕ
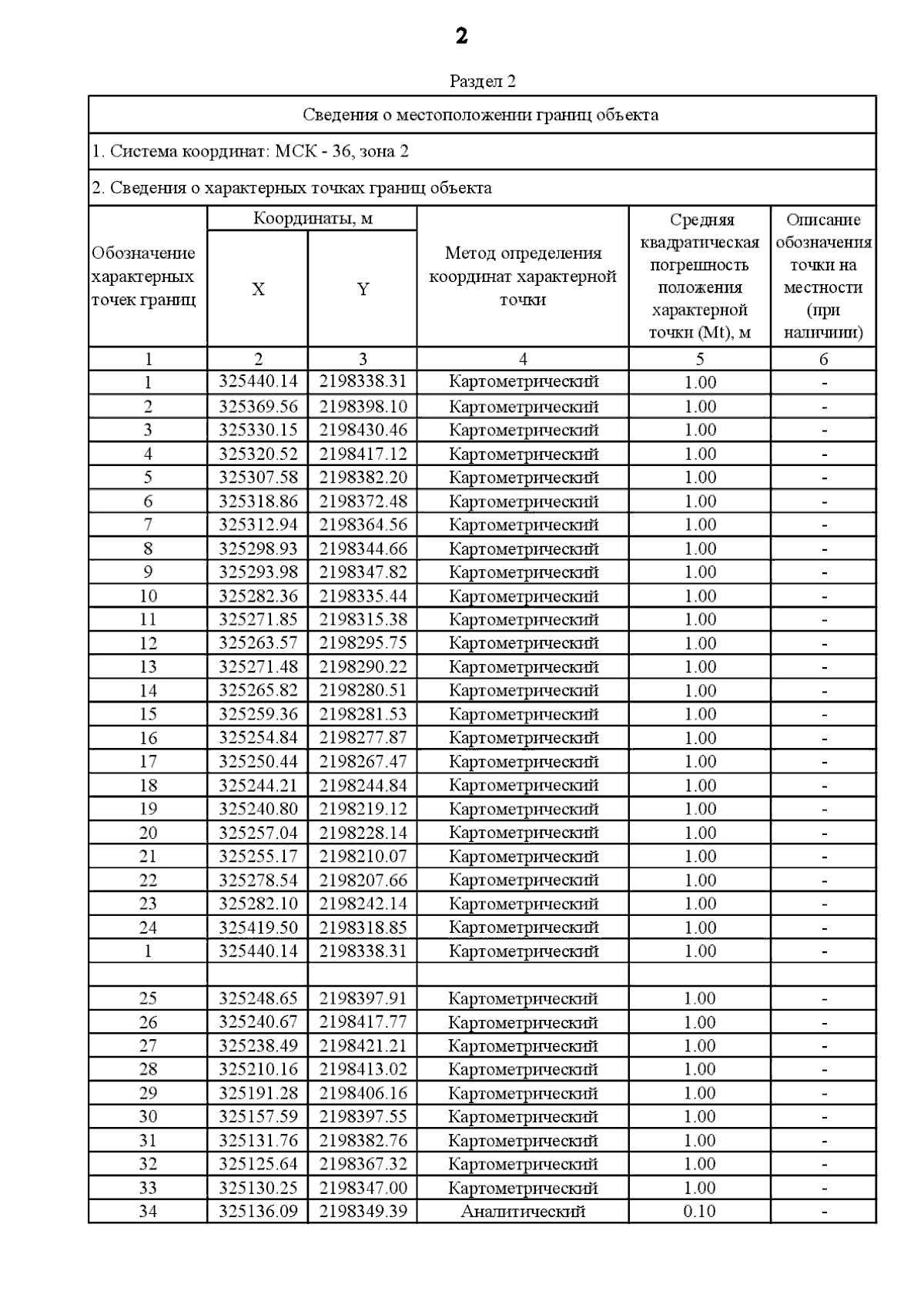
Приказ министерства архитектуры и градостроительства Воронежской области от 13.11.2023 № 45-01-04/1118
"О внесении изменений в правила землепользования и застройки Подколодновского сельского поселения Богучарского муниципального района Воронежской области"
(Зарегистрирован 22.11.2023 № 1518)
Номер опубликования: 3601202311290006
Дата опубликования: 29.11.2023
Страница №61 из 90:
Увеличить