Официальное опубликование правовых актов
ОФИЦИАЛЬНОЕ ОПУБЛИКОВАНИЕ
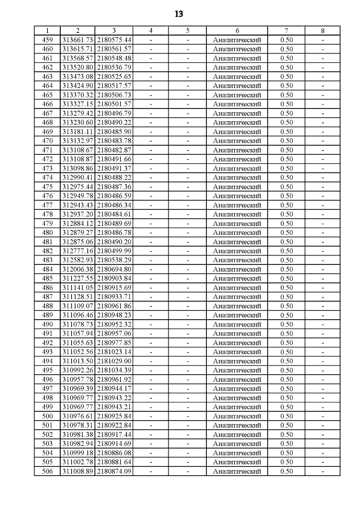
Приказ министерства архитектуры и градостроительства Воронежской области от 13.11.2023 № 45-01-04/1117
"О внесении изменений в правила землепользования и застройки Поповского сельского поселения Богучарского муниципального района Воронежской области"
(Зарегистрирован 22.11.2023 № 1525)
Номер опубликования: 3601202311290005
Дата опубликования: 29.11.2023
Страница №132 из 137:
Увеличить