Официальное опубликование правовых актов
ОФИЦИАЛЬНОЕ ОПУБЛИКОВАНИЕ
Приказ министерства архитектуры и градостроительства Воронежской области от 13.11.2023 № 45-01-04/1115
"О внесении изменений в правила землепользования и застройки Пригородного сельского поселения Калачеевского муниципального района Воронежской области"
(Зарегистрирован 22.11.2023 № 1519)
Номер опубликования: 3601202311270008
Дата опубликования: 27.11.2023
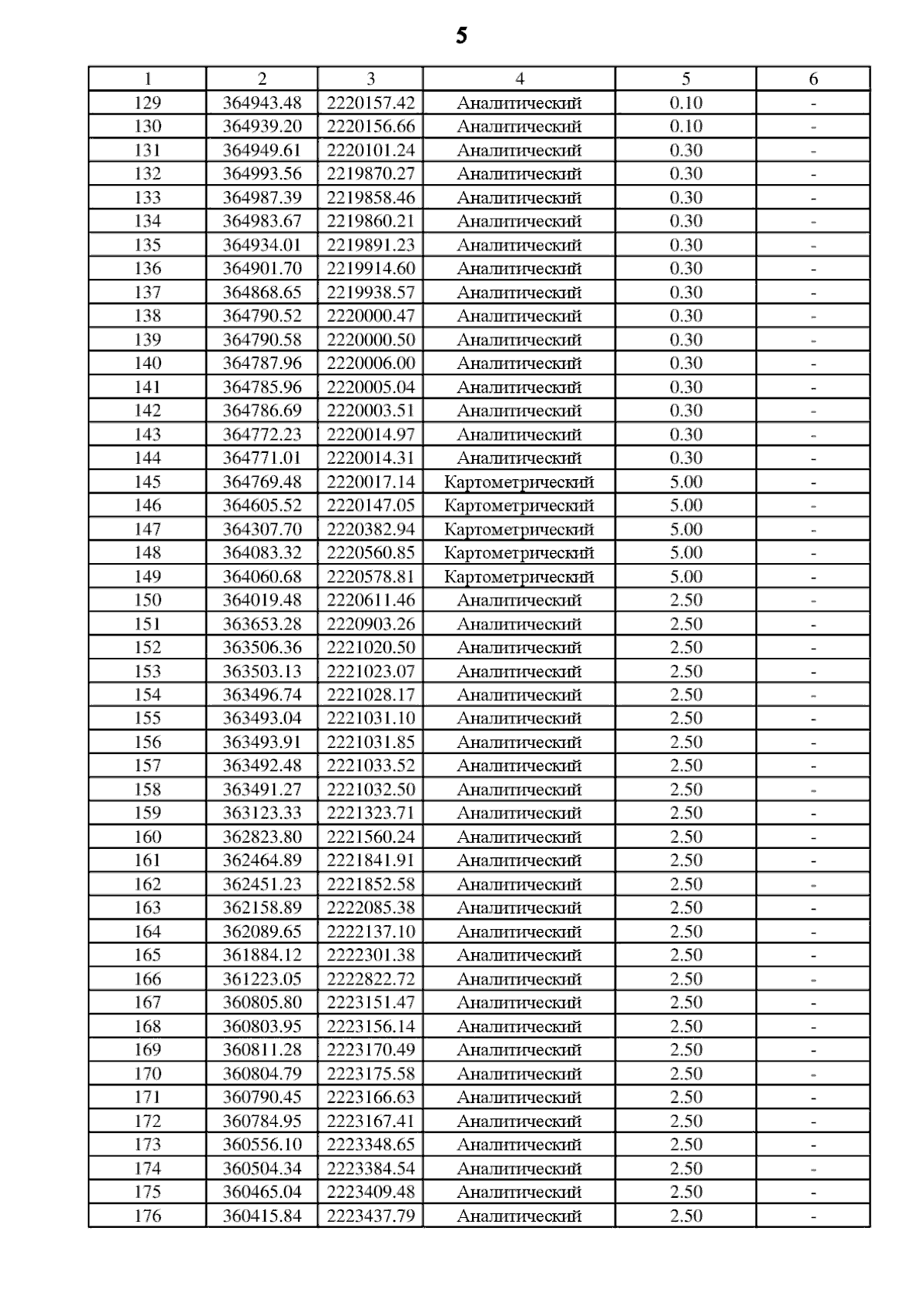
Страница №58 из 82:
Увеличить