Официальное опубликование правовых актов
ОФИЦИАЛЬНОЕ ОПУБЛИКОВАНИЕ
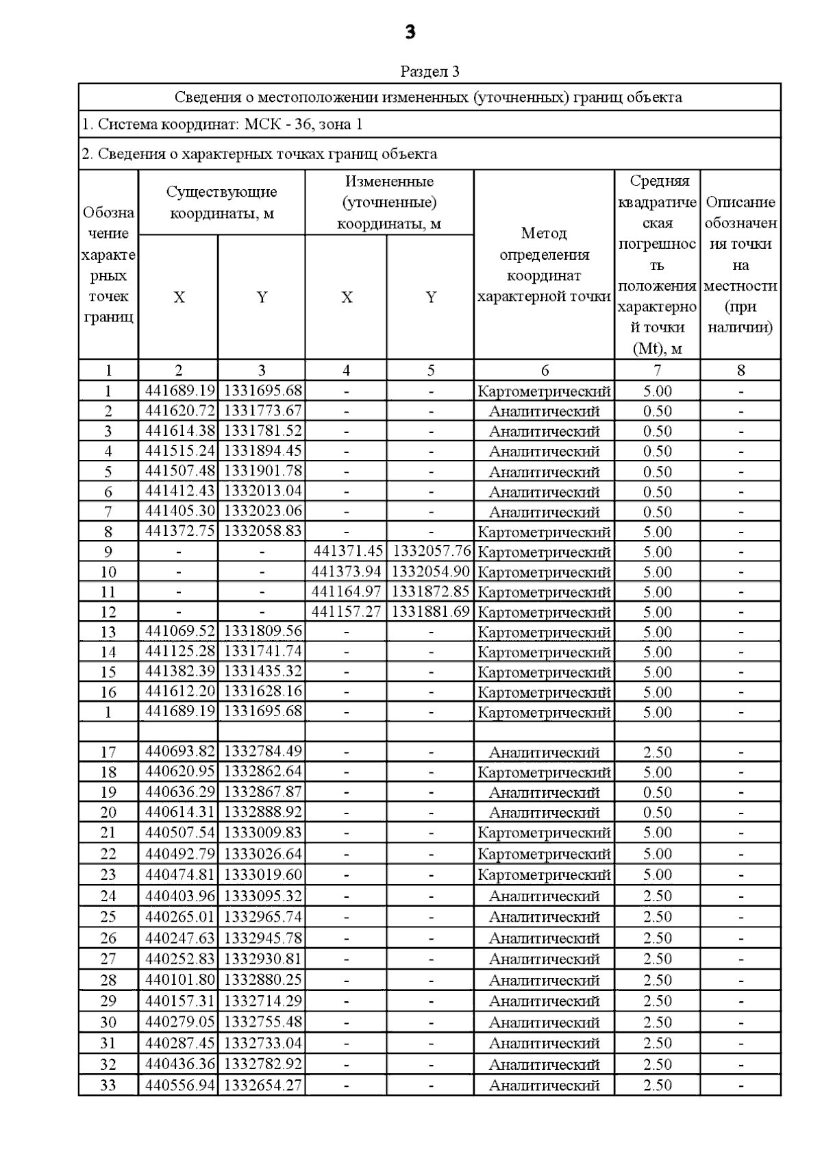
Приказ министерства архитектуры и градостроительства Воронежской области от 08.11.2023 № 45-01-04/1077
"О внесении изменений в правила землепользования и застройки Нижнеикорецкого сельского поселения Лискинского муниципального района Воронежской области"
(Зарегистрирован 22.11.2023 № 1516)
Номер опубликования: 3601202311270002
Дата опубликования: 27.11.2023
Страница №72 из 77:
Увеличить