Официальное опубликование правовых актов
ОФИЦИАЛЬНОЕ ОПУБЛИКОВАНИЕ
Приказ министерства архитектуры и градостроительства Воронежской области от 08.11.2023 № 45-01-04/1076
"О внесении изменений в правила землепользования и застройки Новоольшанского сельского поселения Нижнедевицкого муниципального района Воронежской области"
(Зарегистрирован 22.11.2023 № 1521)
Номер опубликования: 3601202311270001
Дата опубликования: 27.11.2023
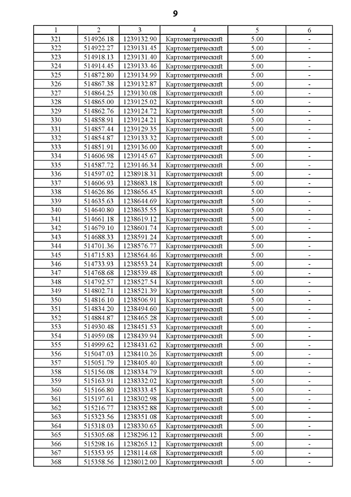
Страница №60 из 104:
Увеличить