Официальное опубликование правовых актов
ОФИЦИАЛЬНОЕ ОПУБЛИКОВАНИЕ
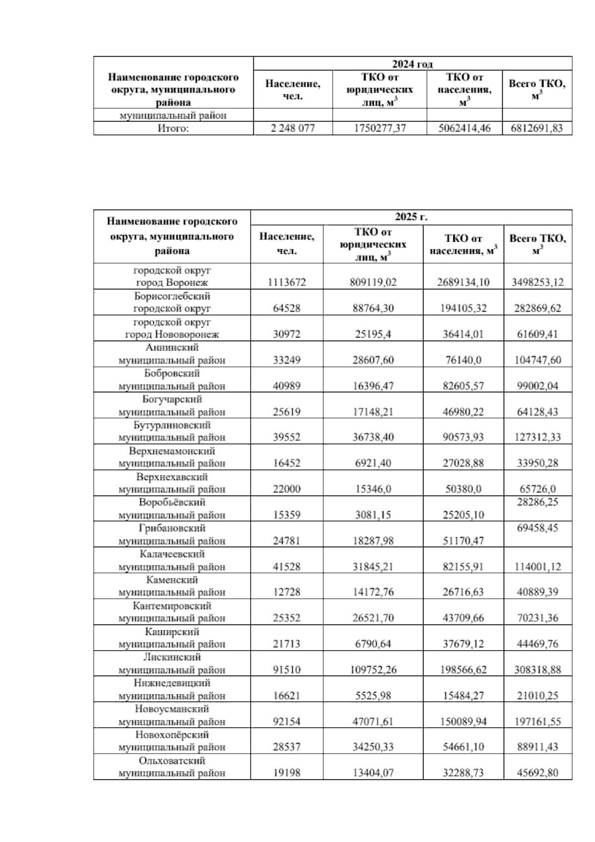
Приказ департамента жилищно-коммунального хозяйства и энергетики Воронежской области от 11.10.2023 № 276
"О внесении изменений в приказ департамента жилищно-коммунального хозяйства и энергетики Воронежской области от 26.12.2022 № 319"
(Зарегистрирован 31.10.2023 № 1309)
Номер опубликования: 3601202311090002
Дата опубликования: 09.11.2023
Страница №24 из 4662:
Увеличить