Официальное опубликование правовых актов
ОФИЦИАЛЬНОЕ ОПУБЛИКОВАНИЕ
Приказ Департамента архитектуры и градостроительства Воронежской области от 05.10.2023 № 45-01-04/999
"О внесении изменений в правила землепользования и застройки Можайского сельского поселения Каширского муниципального района Воронежской области"
(Зарегистрирован 23.10.2023 № 1229)
Номер опубликования: 3601202310240002
Дата опубликования: 24.10.2023
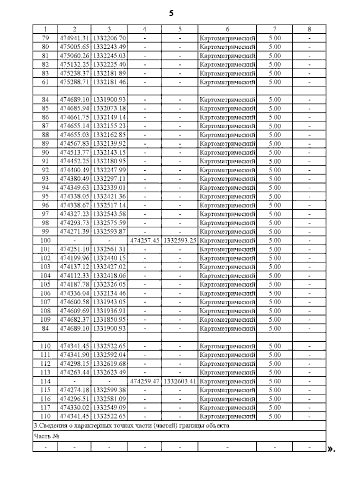
Страница №34 из 87:
Увеличить