Официальное опубликование правовых актов
ОФИЦИАЛЬНОЕ ОПУБЛИКОВАНИЕ
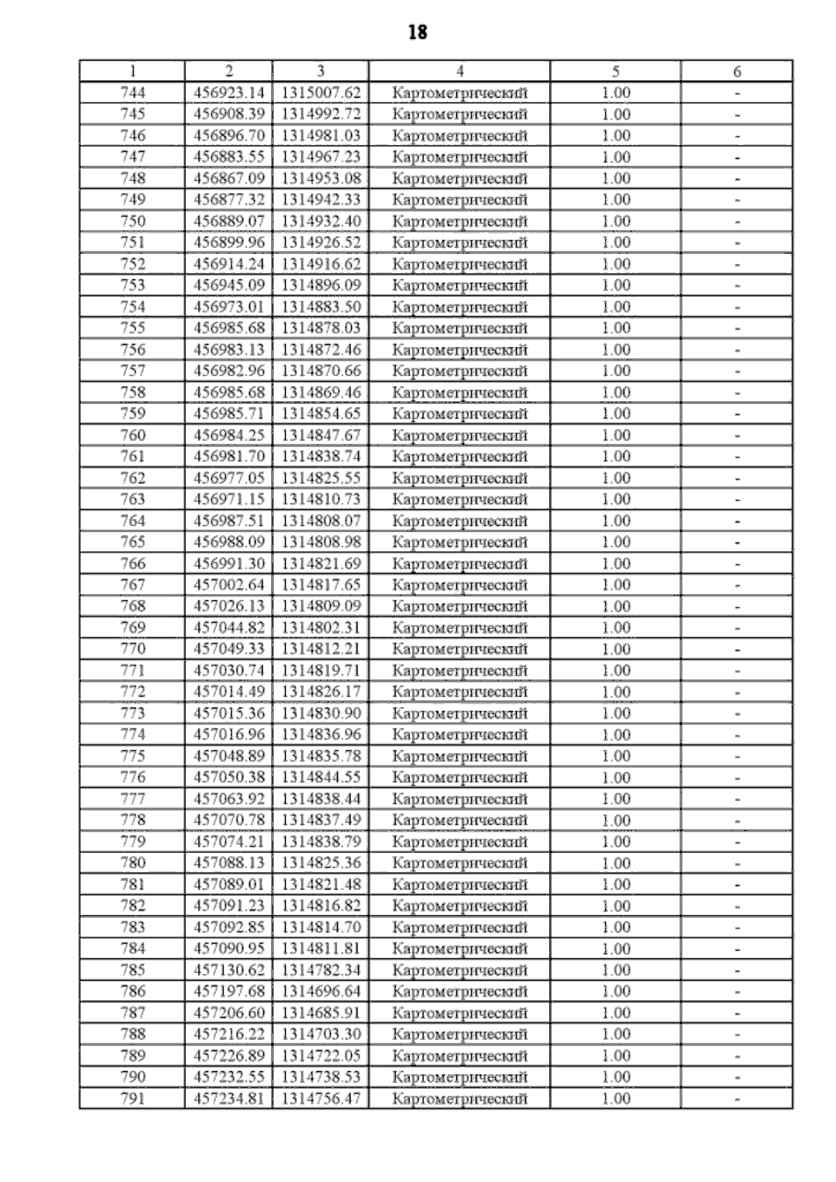
Приказ Департамента архитектуры и градостроительства Воронежской области от 02.10.2023 № 45-01-04/968
"О внесении изменений в правила землепользования и застройки Давыдовского городского поселения Лискинского муниципального района Воронежской области"
(Зарегистрирован 18.10.2023 № 1166)
Номер опубликования: 3601202310200002
Дата опубликования: 20.10.2023
Страница №27 из 69:
Увеличить