Официальное опубликование правовых актов
ОФИЦИАЛЬНОЕ ОПУБЛИКОВАНИЕ
Приказ Департамента архитектуры и градостроительства Воронежской области от 02.10.2023 № 45-01-04/966
"О внесении изменений в правила землепользования и застройки Татаринского сельского поселения Каменского муниципального района Воронежской области"
(Зарегистрирован 11.10.2023 № 1111)
Номер опубликования: 3601202310160001
Дата опубликования: 16.10.2023
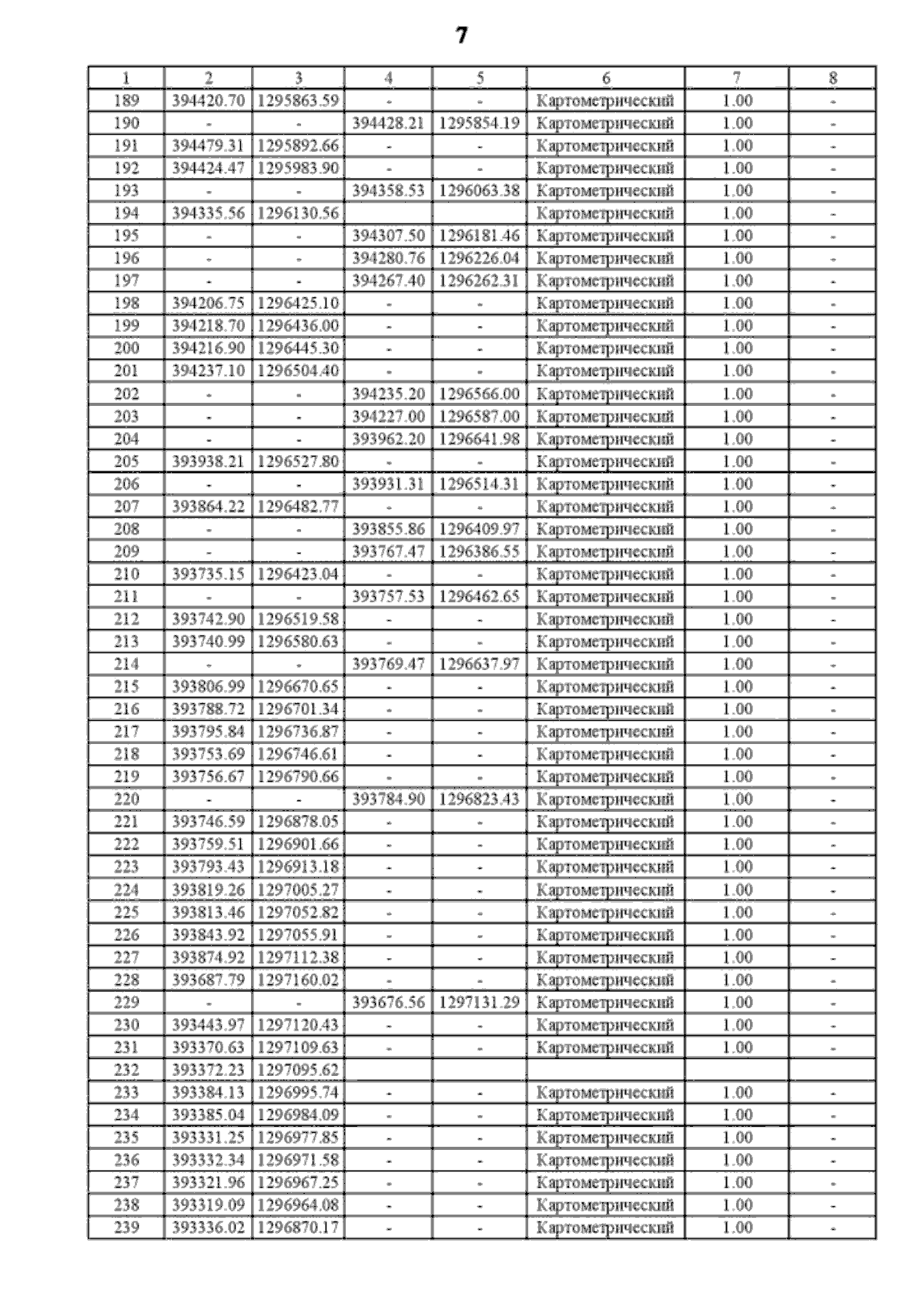
Страница №13 из 36:
Увеличить