Официальное опубликование правовых актов
ОФИЦИАЛЬНОЕ ОПУБЛИКОВАНИЕ
Приказ Департамента архитектуры и градостроительства Воронежской области от 28.09.2023 № 45-01-04/959
"О внесении изменений в правила землепользования и застройки Хрещатовского сельского поселения Калачеевского муниципального района Воронежской области"
(Зарегистрирован 06.10.2023 № 1089)
Номер опубликования: 3601202310090002
Дата опубликования: 09.10.2023
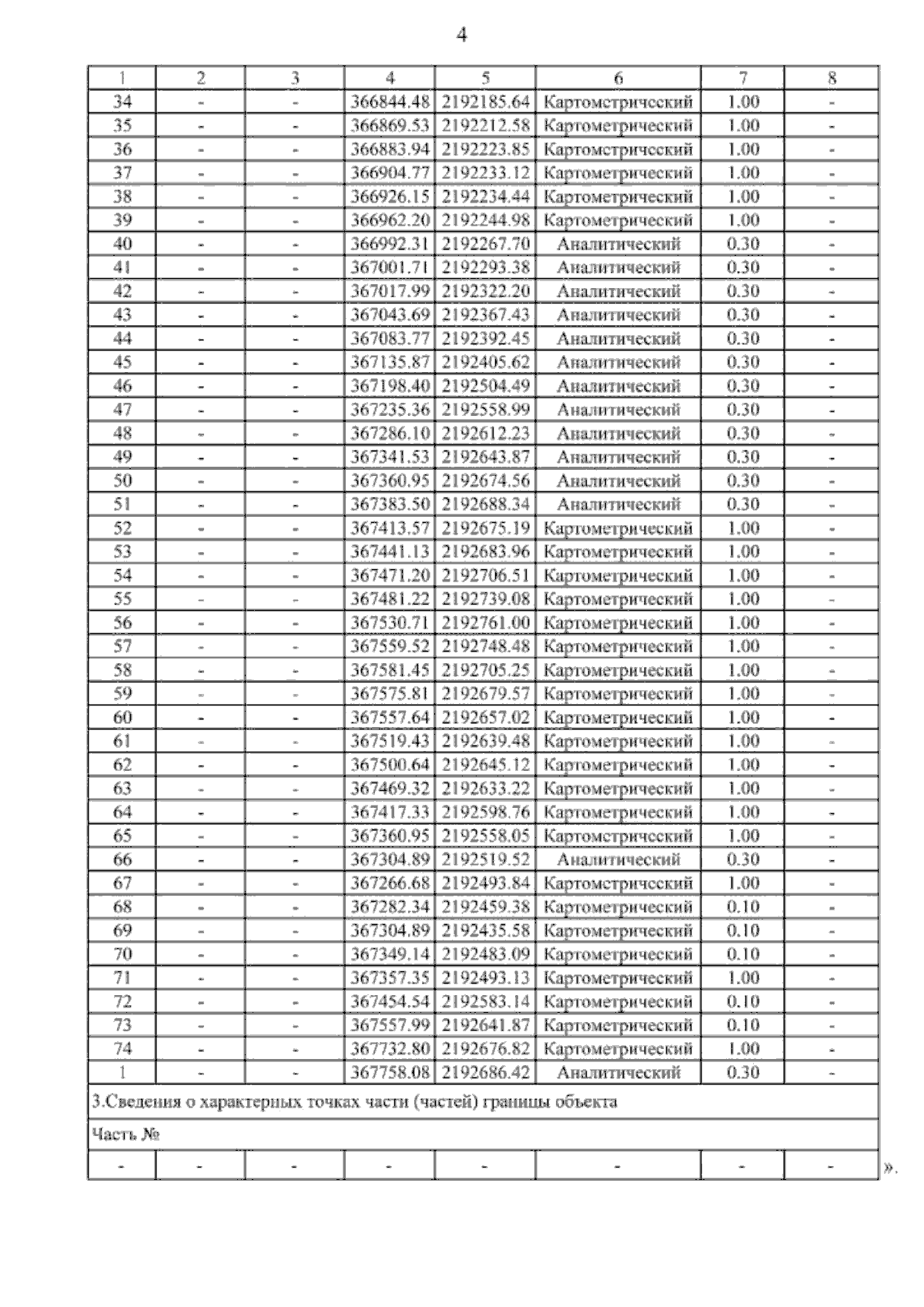
Страница №65 из 77:
Увеличить