Официальное опубликование правовых актов
ОФИЦИАЛЬНОЕ ОПУБЛИКОВАНИЕ
Приказ Департамента архитектуры и градостроительства Воронежской области от 11.09.2023 № 45-01-04/887
"О внесении изменений в правила землепользования и застройки Криушанского сельского поселения Панинского муниципального района Воронежской области"
(Зарегистрирован 28.09.2023 № 1067)
Номер опубликования: 3601202310040007
Дата опубликования: 04.10.2023
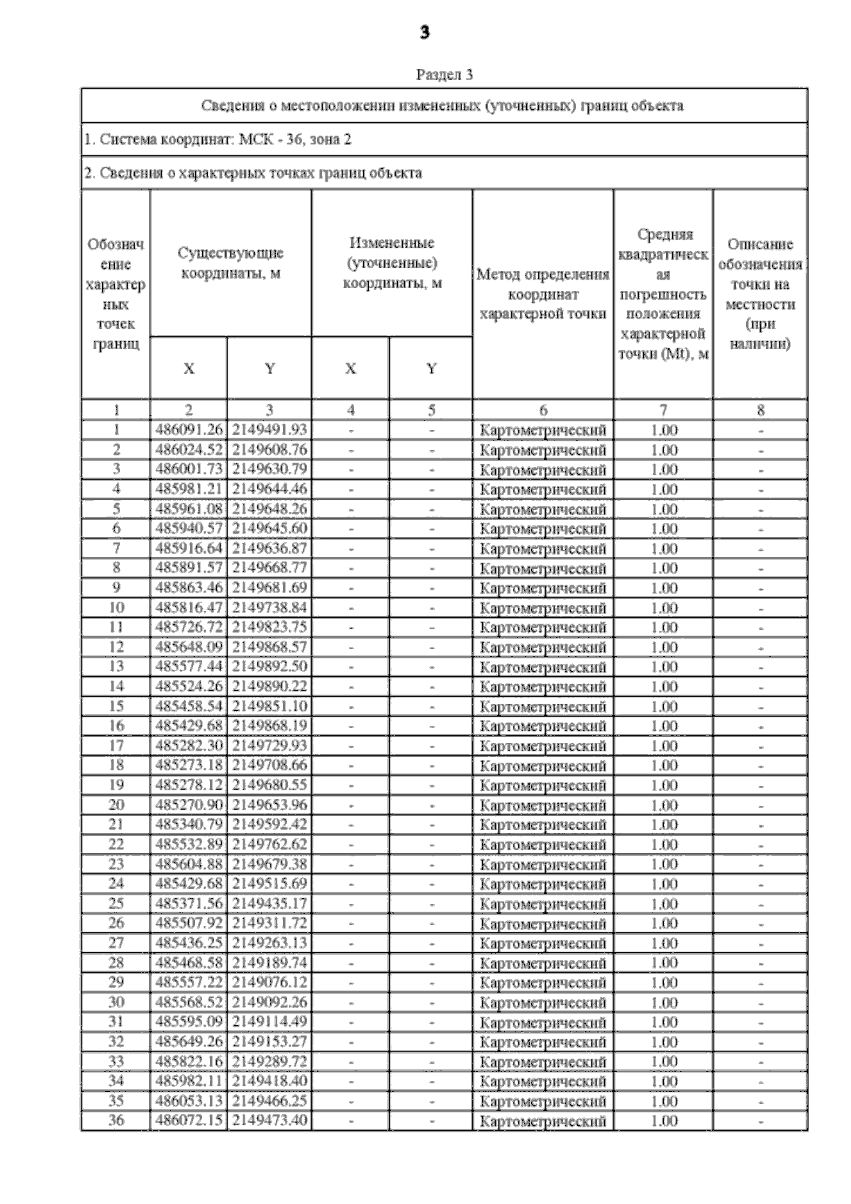
Страница №43 из 109:
Увеличить