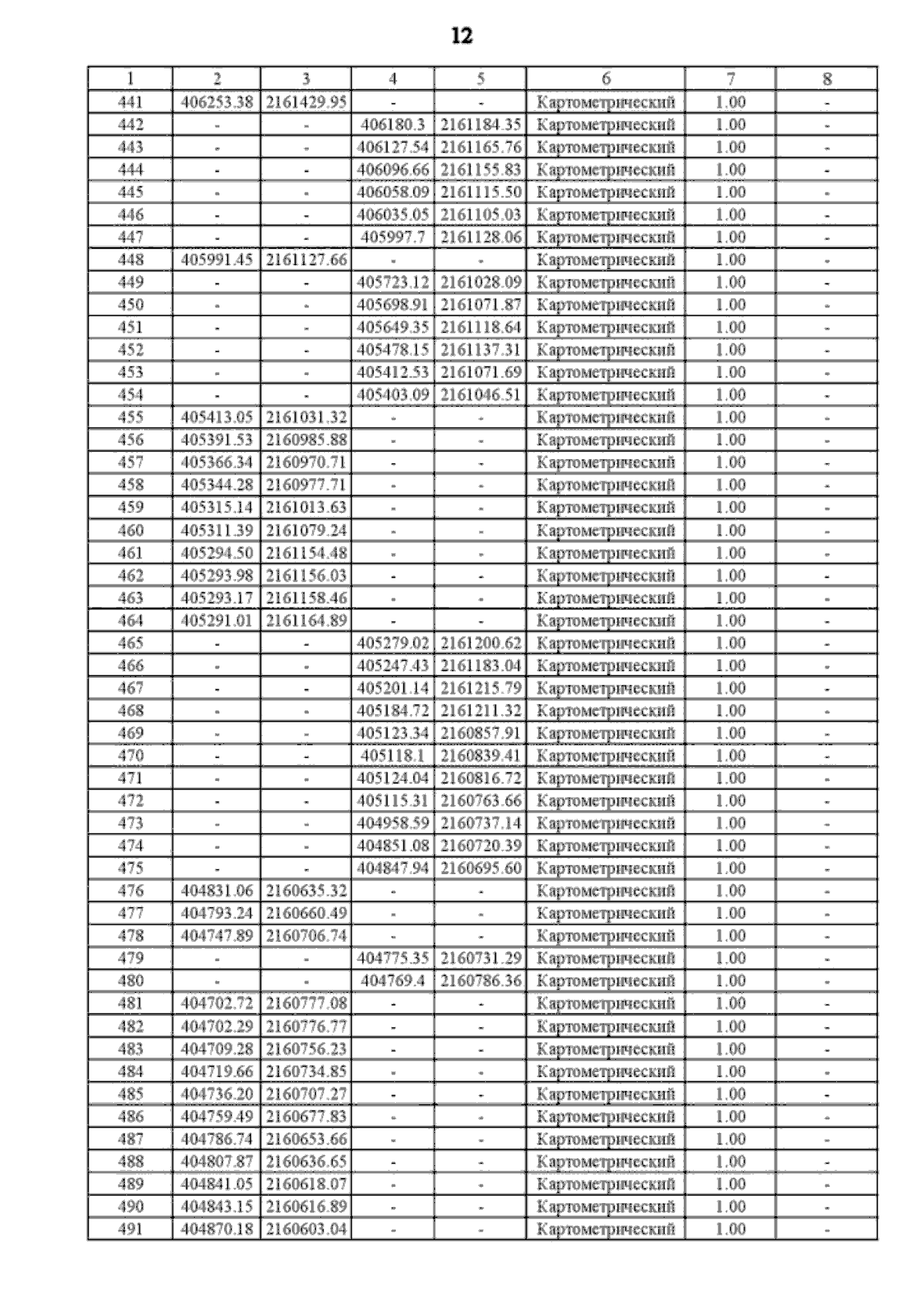
Приказ Департамента архитектуры и градостроительства Воронежской области от 11.09.2023 № 45-01-04/888
"О внесении изменений в правила землепользования и застройки Ерышевского сельского поселения Павловского муниципального района Воронежской области"
(Зарегистрирован 28.09.2023 № 1066)
"О внесении изменений в правила землепользования и застройки Ерышевского сельского поселения Павловского муниципального района Воронежской области"
(Зарегистрирован 28.09.2023 № 1066)
Номер опубликования: 3601202310040006
Дата опубликования:
04.10.2023
