Официальное опубликование правовых актов
ОФИЦИАЛЬНОЕ ОПУБЛИКОВАНИЕ
Приказ Департамента архитектуры и градостроительства Воронежской области от 13.09.2023 № 45-01-04/904
"О внесении изменений в правила землепользования и застройки Битюг-Матрёновского сельского поселения Эртильского муниципального района Воронежской области"
(Зарегистрирован 28.09.2023 № 1065)
Номер опубликования: 3601202310040005
Дата опубликования: 04.10.2023
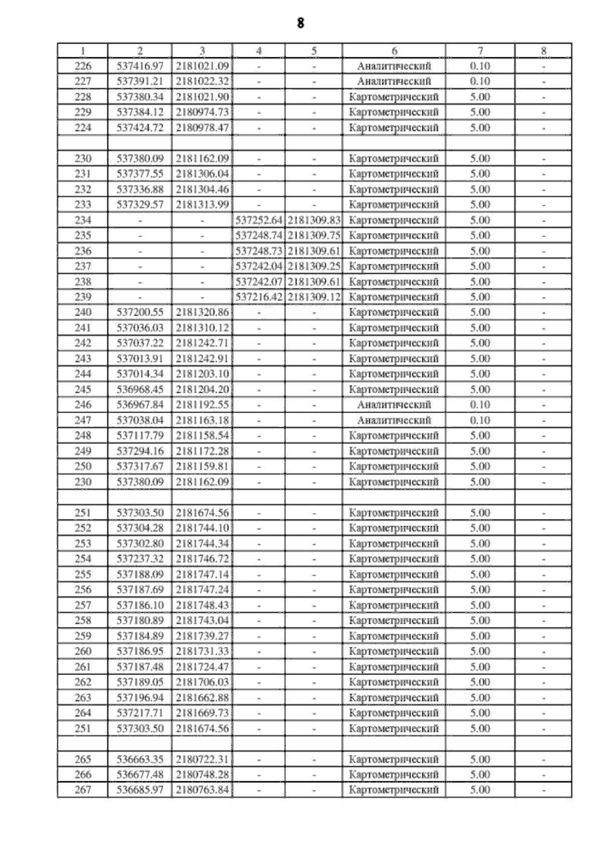
Страница №14 из 42:
Увеличить