Официальное опубликование правовых актов
ОФИЦИАЛЬНОЕ ОПУБЛИКОВАНИЕ
Приказ Департамента архитектуры и градостроительства Воронежской области от 11.09.2023 № 45-01-04/890
"О внесении изменений в правила землепользования и застройки Скорицкого сельского поселения Репьёвского муниципального района Воронежской области"
(Зарегистрирован 28.09.2023 № 1069)
Номер опубликования: 3601202310040004
Дата опубликования: 04.10.2023
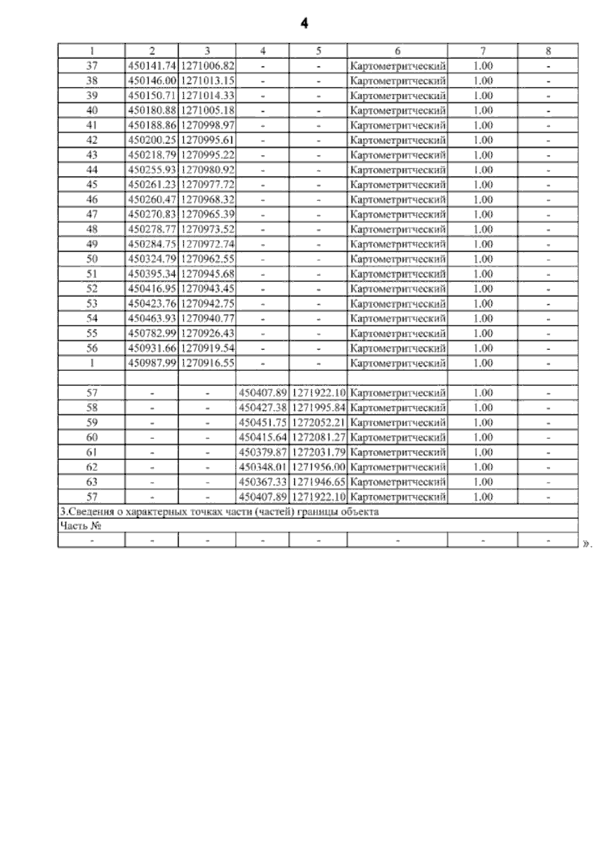
Страница №40 из 51:
Увеличить