Официальное опубликование правовых актов
ОФИЦИАЛЬНОЕ ОПУБЛИКОВАНИЕ
Приказ Департамента архитектуры и градостроительства Воронежской области от 05.09.2023 № 45-01-04/873
"О внесении изменений в правила землепользования и застройки Гаврильского сельского поселения Павловского муниципального района Воронежской области"
(Зарегистрирован 20.09.2023 № 1040)
Номер опубликования: 3601202309250013
Дата опубликования: 25.09.2023
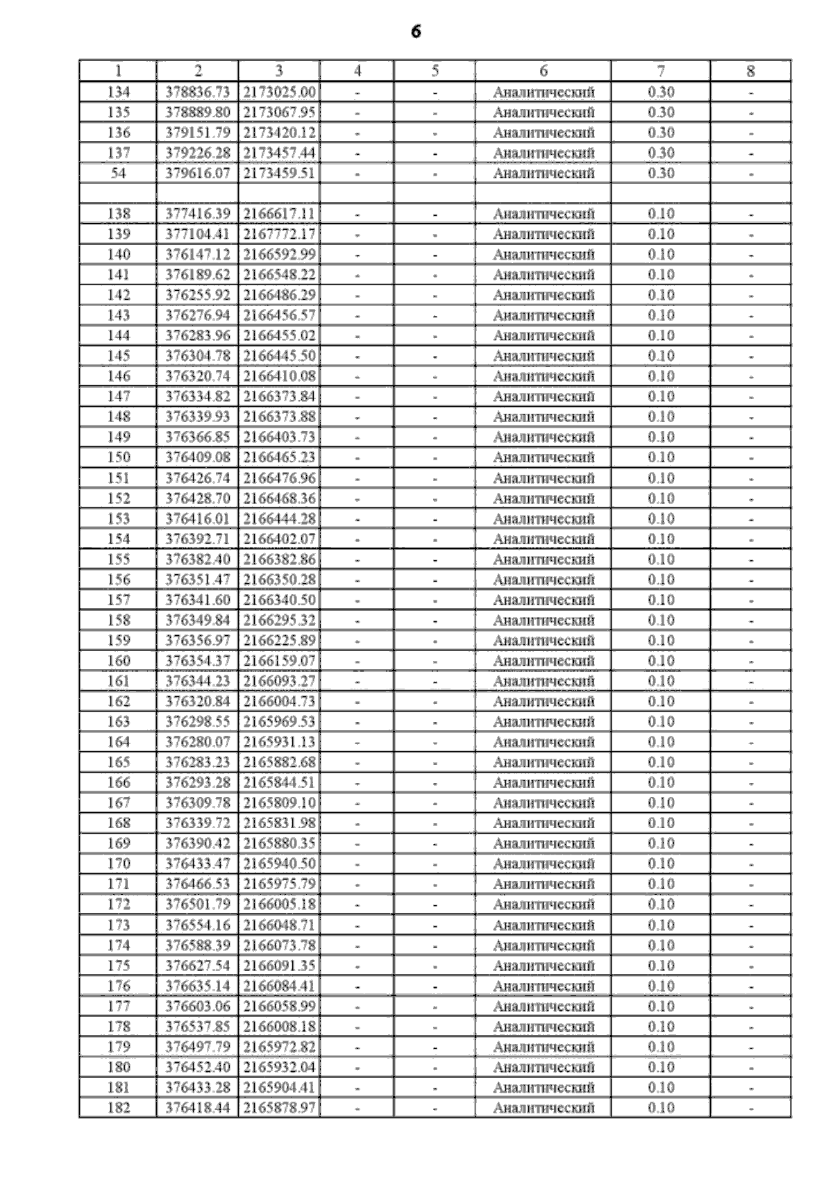
Страница №16 из 24:
Увеличить