Официальное опубликование правовых актов
ОФИЦИАЛЬНОЕ ОПУБЛИКОВАНИЕ
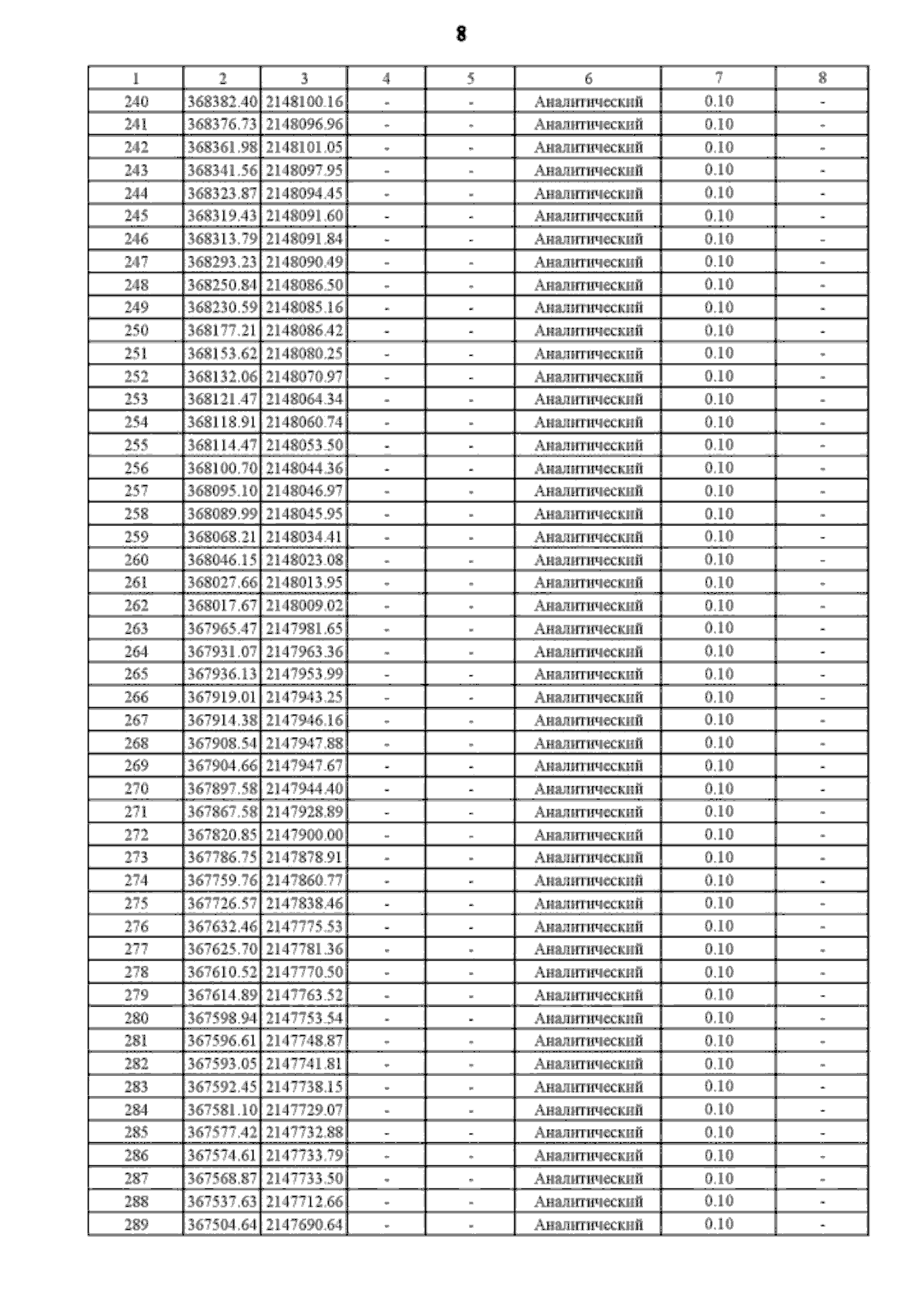
Приказ Департамента архитектуры и градостроительства Воронежской области от 31.08.2023 № 45-01-04/852
"О внесении изменений в правила землепользования и застройки Русско-Буйловского сельского поселения Павловского муниципального района Воронежской области"
(Зарегистрирован 20.09.2023 № 1041)
Номер опубликования: 3601202309250009
Дата опубликования: 25.09.2023
Страница №17 из 57:
Увеличить