Официальное опубликование правовых актов
ОФИЦИАЛЬНОЕ ОПУБЛИКОВАНИЕ
Приказ Департамента архитектуры и градостроительства Воронежской области от 01.09.2023 № 45-01-04/860
"О внесении изменений в правила землепользования и застройки Луговского сельского поселения Богучарского муниципального района Воронежской области"
(Зарегистрирован 19.09.2023 № 1034)
Номер опубликования: 3601202309250007
Дата опубликования: 25.09.2023
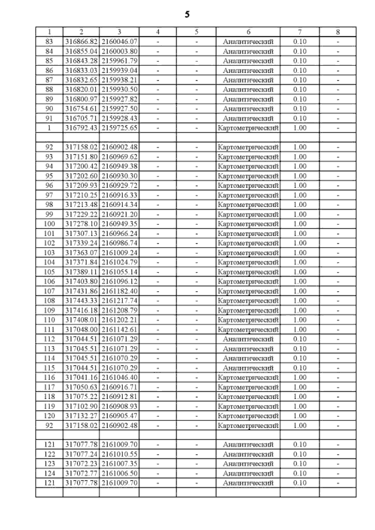
Страница №55 из 72:
Увеличить