Официальное опубликование правовых актов
ОФИЦИАЛЬНОЕ ОПУБЛИКОВАНИЕ
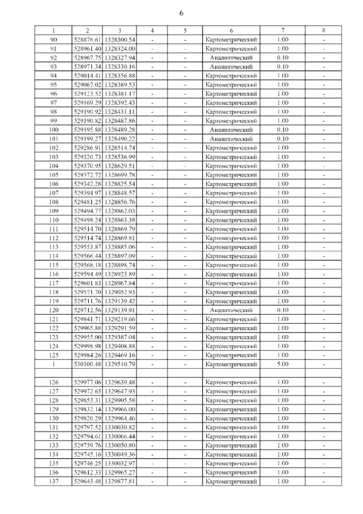
Приказ Департамента архитектуры и градостроительства Воронежской области от 07.09.2023 № 45-01-04/877
"О внесении изменений в правила землепользования и застройки Парижскокоммунского сельского поселения Верхнехавского муниципального района Воронежской области"
(Зарегистрирован 20.09.2023 № 1046)
Номер опубликования: 3601202309250005
Дата опубликования: 25.09.2023
Страница №13 из 38:
Увеличить