Официальное опубликование правовых актов
ОФИЦИАЛЬНОЕ ОПУБЛИКОВАНИЕ
Приказ Департамента архитектуры и градостроительства Воронежской области от 07.09.2023 № 45-01-04/878
"О внесении изменений в правила землепользования и застройки Скупопотуданского сельского поселения Нижнедевицкого муниципального района Воронежской области"
(Зарегистрирован 20.09.2023 № 1044)
Номер опубликования: 3601202309250003
Дата опубликования: 25.09.2023
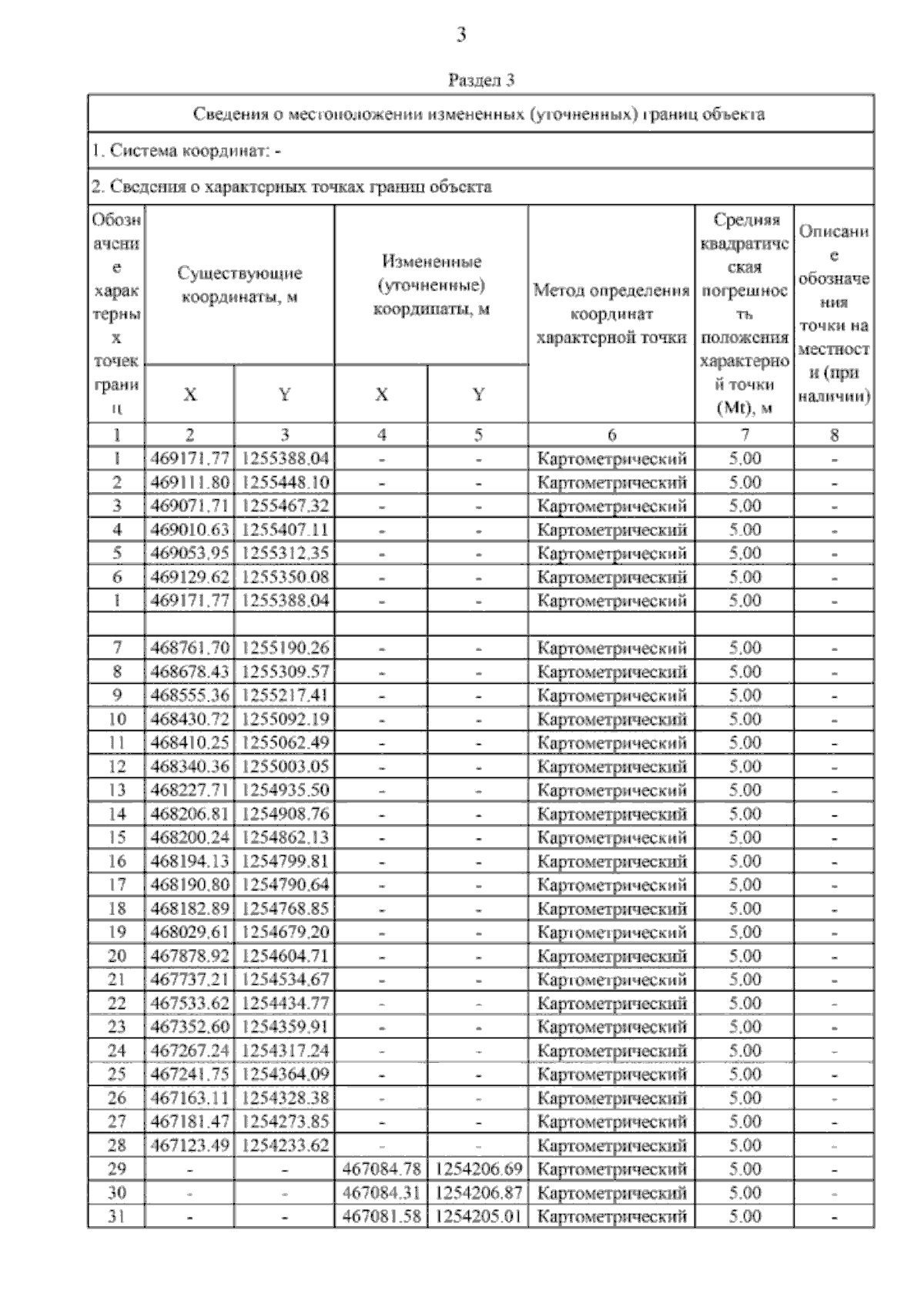
Страница №9 из 18:
Увеличить