Официальное опубликование правовых актов
ОФИЦИАЛЬНОЕ ОПУБЛИКОВАНИЕ
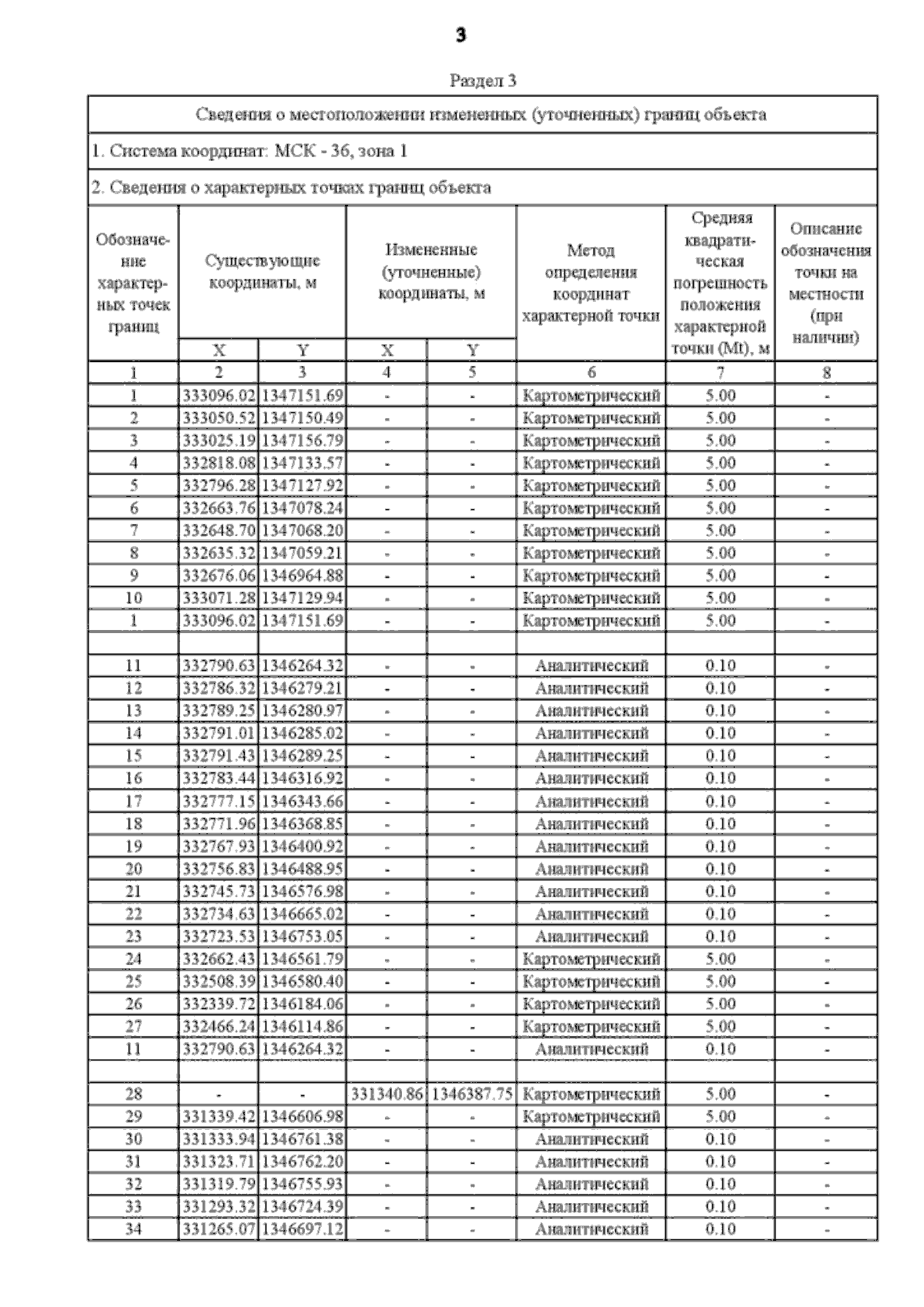
Приказ Департамента архитектуры и градостроительства Воронежской области от 13.09.2023 № 45-01-04/905
"О внесении изменений в правила землепользования и застройки Криничанского сельского поселения Россошанского муниципального района Воронежской области"
(Зарегистрирован 19.09.2023 № 1035)
Номер опубликования: 3601202309250002
Дата опубликования: 25.09.2023
Страница №15 из 16:
Увеличить