Официальное опубликование правовых актов
ОФИЦИАЛЬНОЕ ОПУБЛИКОВАНИЕ
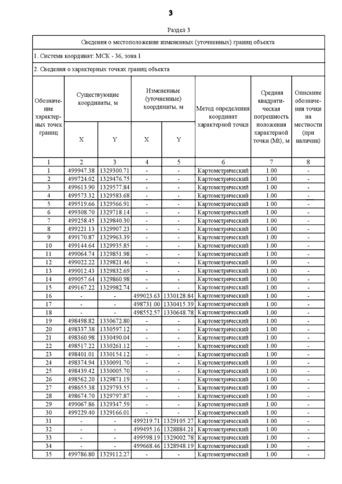
Приказ Департамента архитектуры и градостроительства Воронежской области от 11.09.2023 № 45-01-04/889
"О внесении изменений в правила землепользования и застройки Тимирязевского сельского поселения Новоусманского муниципального района Воронежской области"
(Зарегистрирован 19.09.2023 № 1036)
Номер опубликования: 3601202309200002
Дата опубликования: 20.09.2023
Страница №146 из 153:
Увеличить