Официальное опубликование правовых актов
ОФИЦИАЛЬНОЕ ОПУБЛИКОВАНИЕ
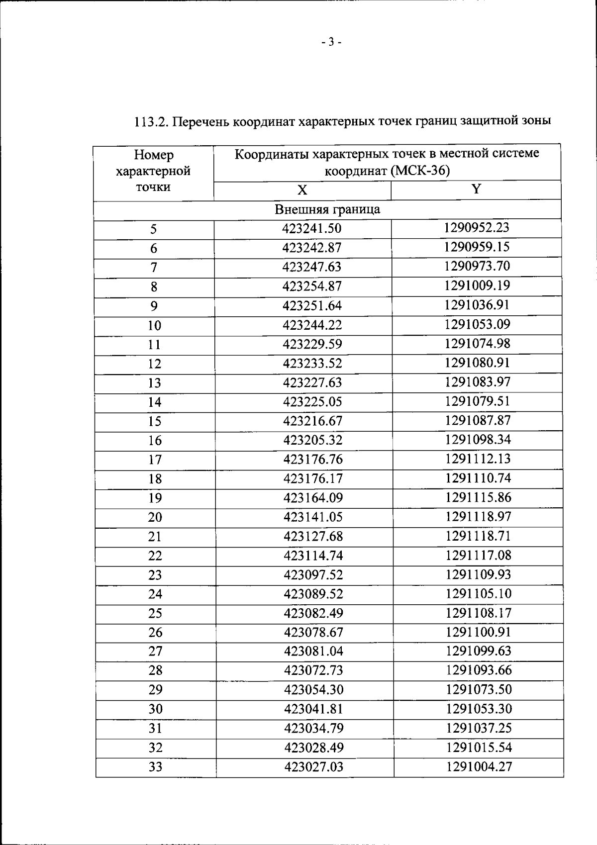
Приказ управления по охране объектов культурного наследия Воронежской области от 21.08.2023 № 71-01-07/390
"О внесении изменения в приказ управления по охране объектов культурного наследия Воронежской области от 04.12.2018 № 71-01-07/266"
(Зарегистрирован 11.09.2023 № 988)
Номер опубликования: 3601202309120010
Дата опубликования: 12.09.2023
Страница №3 из 4:
Увеличить