Официальное опубликование правовых актов
ОФИЦИАЛЬНОЕ ОПУБЛИКОВАНИЕ
Приказ Департамента архитектуры и градостроительства Воронежской области от 23.08.2023 № 45-01-04/822
"Об утверждении правил землепользования и застройки городского поселения – город Эртиль Эртильского муниципального района Воронежской области"
(Зарегистрирован 05.09.2023 № 981)
Номер опубликования: 3601202309060022
Дата опубликования: 06.09.2023
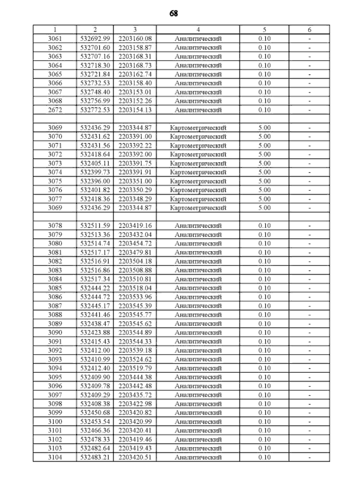
Страница №123 из 456:
Увеличить