Официальное опубликование правовых актов
ОФИЦИАЛЬНОЕ ОПУБЛИКОВАНИЕ
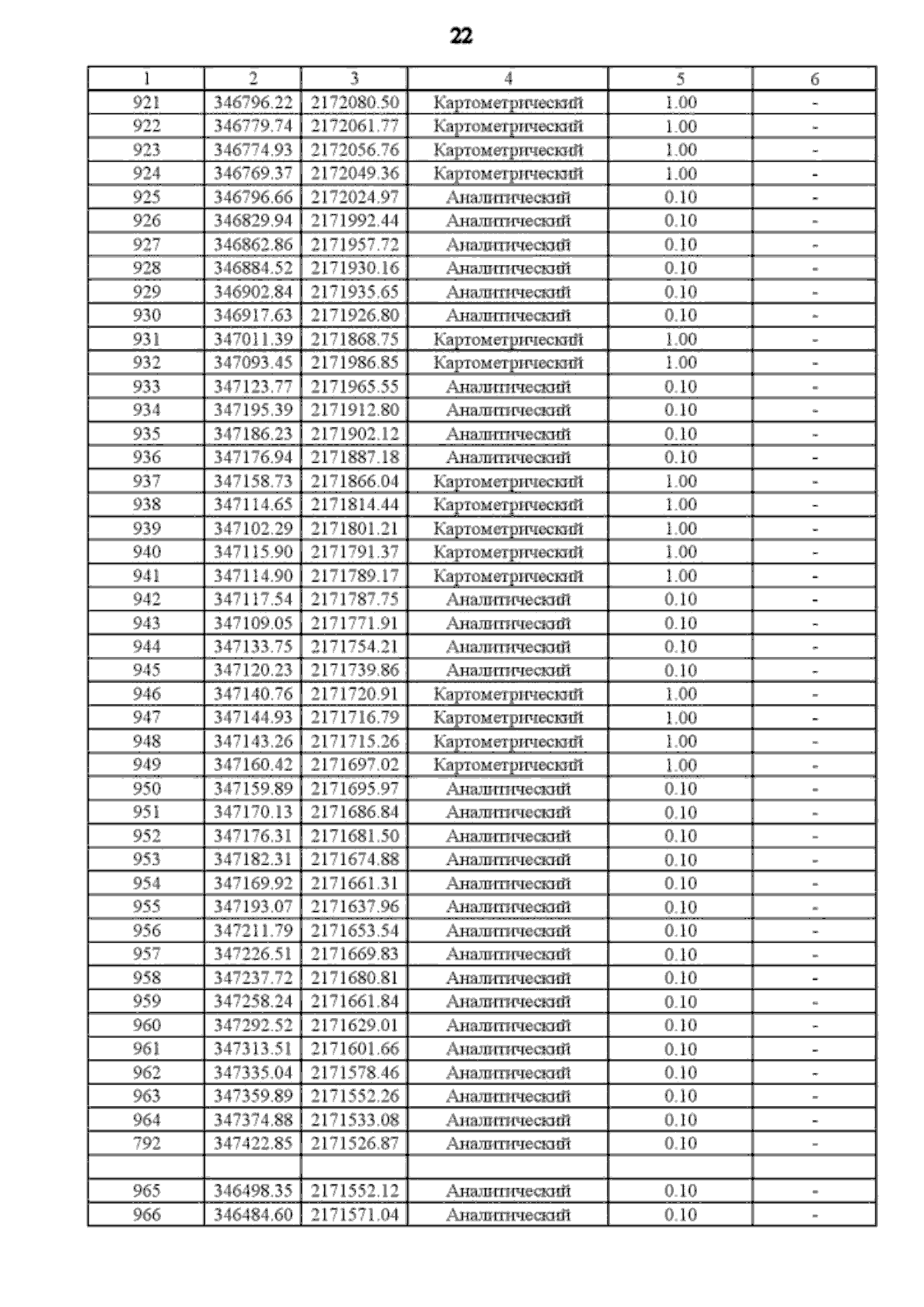
Приказ Департамента архитектуры и градостроительства Воронежской области от 23.08.2023 № 45-01-04/818
"О внесении изменений в правила землепользования и застройки Верхнемамонского сельского поселения Верхнемамонского муниципального района Воронежской области"
(Зарегистрирован 05.09.2023 № 984)
Номер опубликования: 3601202309060021
Дата опубликования: 06.09.2023
Страница №29 из 174:
Увеличить