Официальное опубликование правовых актов
ОФИЦИАЛЬНОЕ ОПУБЛИКОВАНИЕ
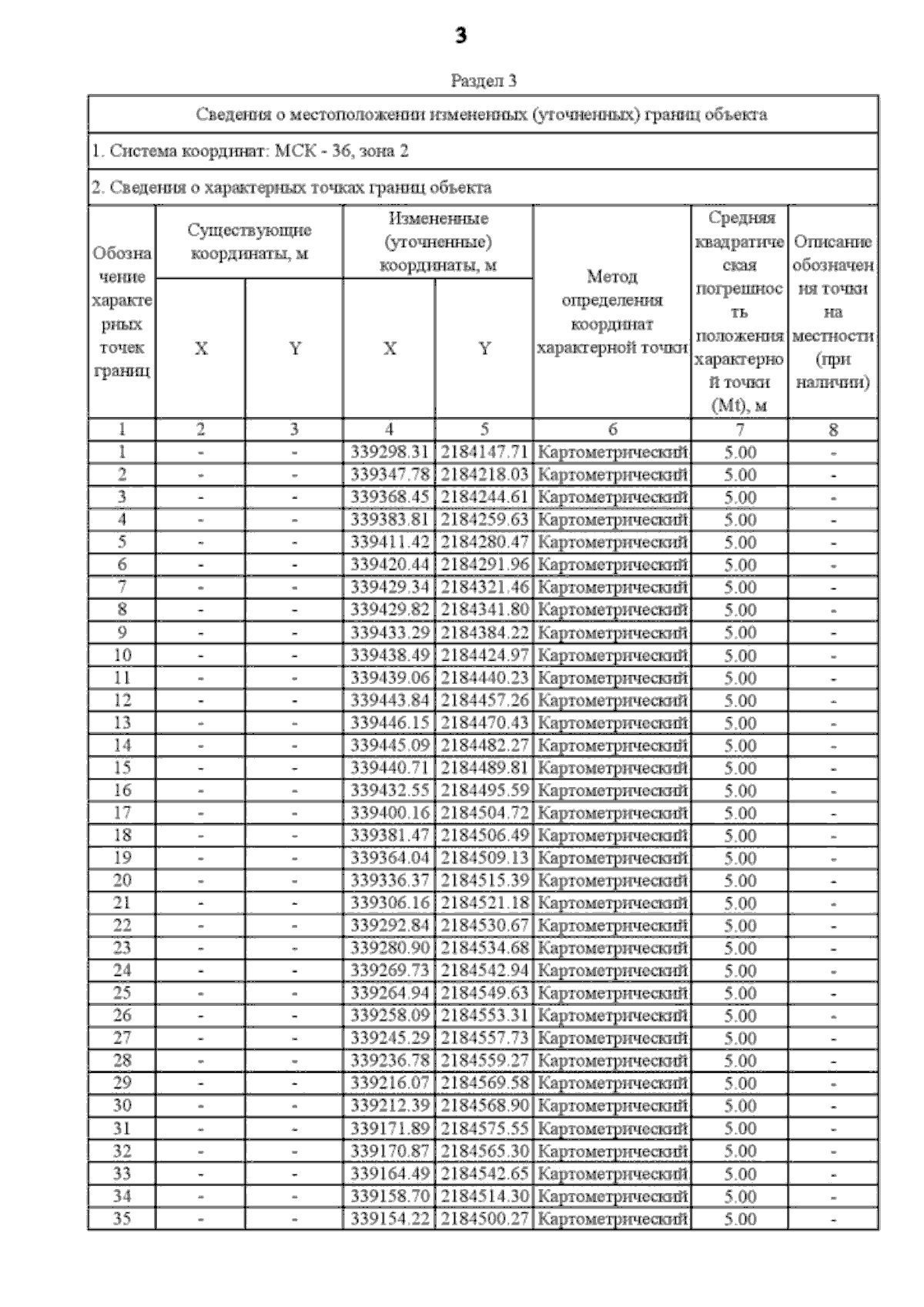
Приказ Департамента архитектуры и градостроительства Воронежской области от 23.08.2023 № 45-01-04/820
"О внесении изменений в правила землепользования и застройки Подколодновского сельского поселения Богучарского муниципального района Воронежской области"
(Зарегистрирован 05.09.2023 № 982)
Номер опубликования: 3601202309060018
Дата опубликования: 06.09.2023
Страница №8 из 26:
Увеличить