Официальное опубликование правовых актов
ОФИЦИАЛЬНОЕ ОПУБЛИКОВАНИЕ
Приказ Департамента архитектуры и градостроительства Воронежской области от 23.08.2023 № 45-01-04/816
"О внесении изменений в правила землепользования и застройки Орловского сельского поселения Новоусманского муниципального района Воронежской области"
(Зарегистрирован 31.08.2023 № 950)
Номер опубликования: 3601202309050004
Дата опубликования: 05.09.2023
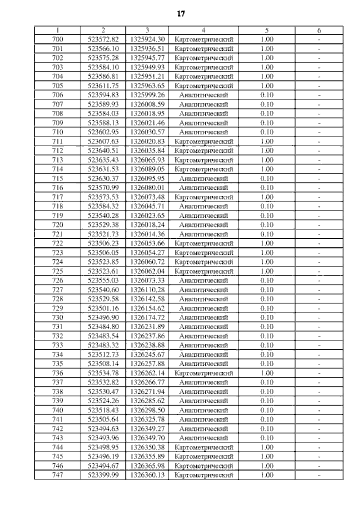
Страница №22 из 56:
Увеличить