Официальное опубликование правовых актов
ОФИЦИАЛЬНОЕ ОПУБЛИКОВАНИЕ
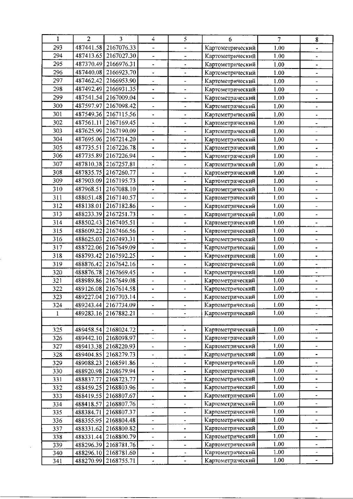
Приказ Департамента архитектуры и градостроительства Воронежской области от 10.08.2023 № 45-01-04/780
"О внесении изменений в правила землепользования и застройки Верхнетойденского сельского поселения Аннинского муниципального района Воронежской области"
(Зарегистрирован 22.08.2023 № 921)
Номер опубликования: 3601202308300009
Дата опубликования: 30.08.2023
Страница №20 из 87:
Увеличить