Официальное опубликование правовых актов
ОФИЦИАЛЬНОЕ ОПУБЛИКОВАНИЕ
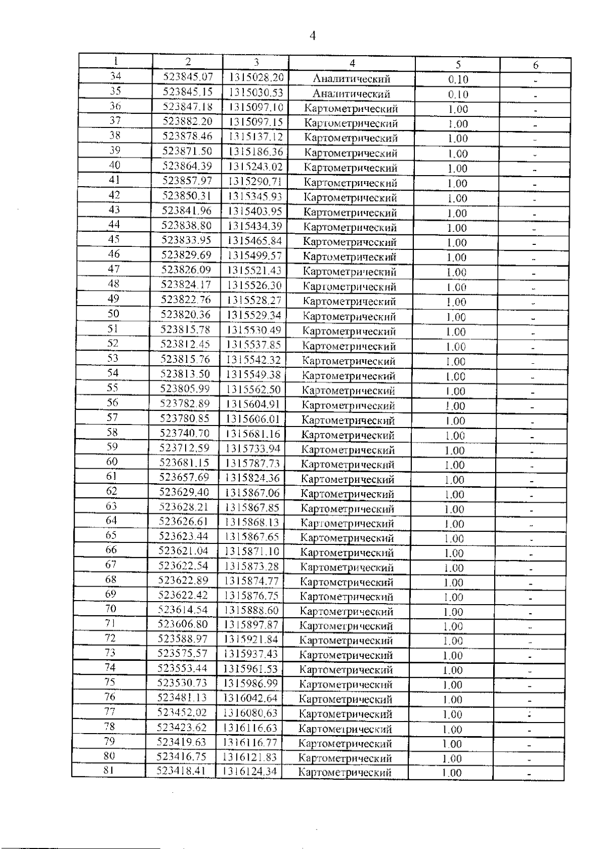
Приказ Департамента архитектуры и градостроительства Воронежской области от 11.08.2023 № 45-01-04/785
"Об утверждении правил землепользования и застройки Шуберского сельского поселения Новоусманского муниципального района Воронежской области"
(Зарегистрирован 22.08.2023 № 919)
Номер опубликования: 3601202308300004
Дата опубликования: 30.08.2023
Страница №46 из 90:
Увеличить