Официальное опубликование правовых актов
ОФИЦИАЛЬНОЕ ОПУБЛИКОВАНИЕ
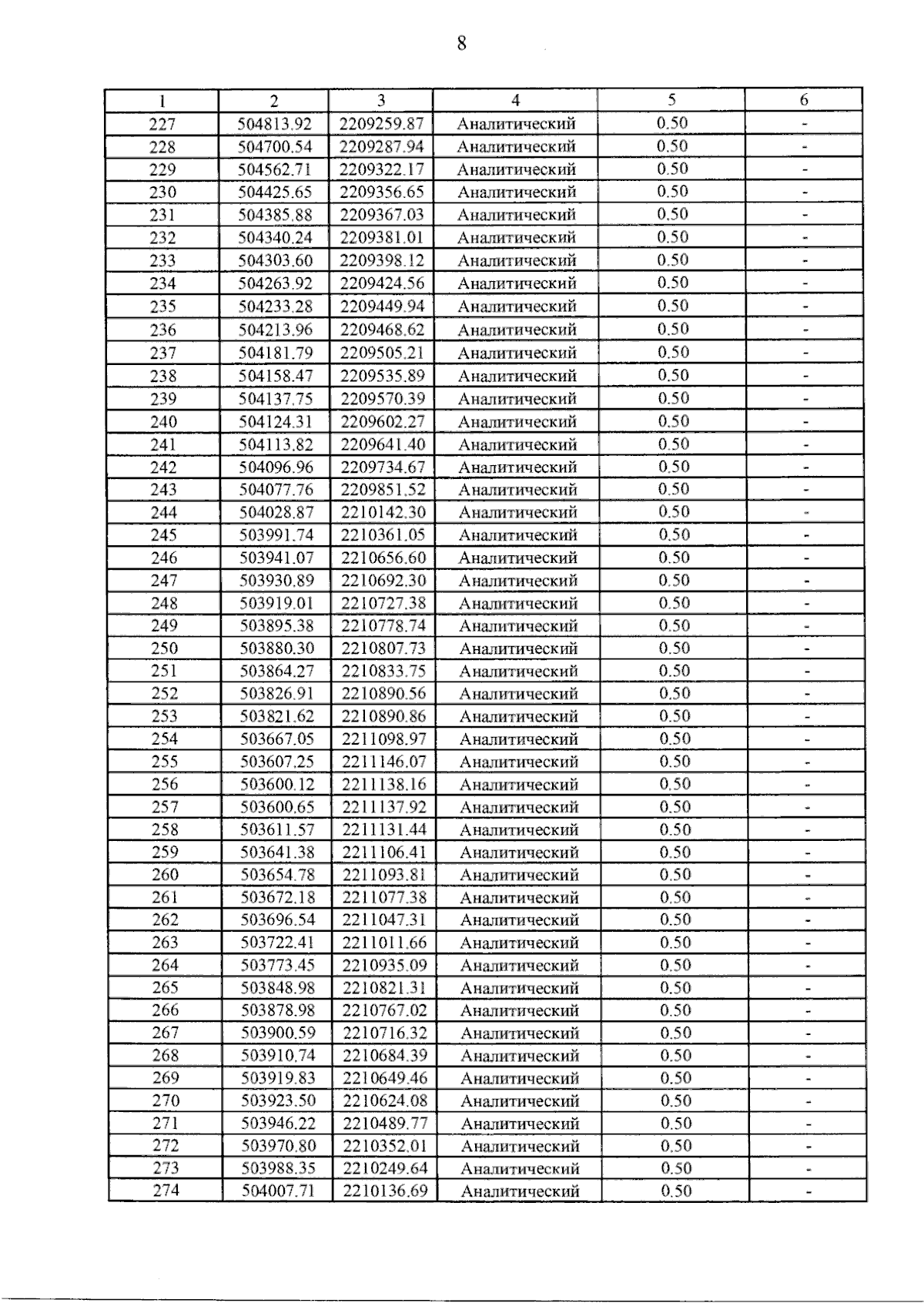
Приказ Департамента архитектуры и градостроительства Воронежской области от 11.08.2023 № 45-01-04/784
"Об утверждении правил землепользования и застройки Ростошинского сельского поселения Эртильского муниципального района Воронежской области"
(Зарегистрирован 22.08.2023 № 918)
Номер опубликования: 3601202308300003
Дата опубликования: 30.08.2023
Страница №157 из 169:
Увеличить