Официальное опубликование правовых актов
ОФИЦИАЛЬНОЕ ОПУБЛИКОВАНИЕ
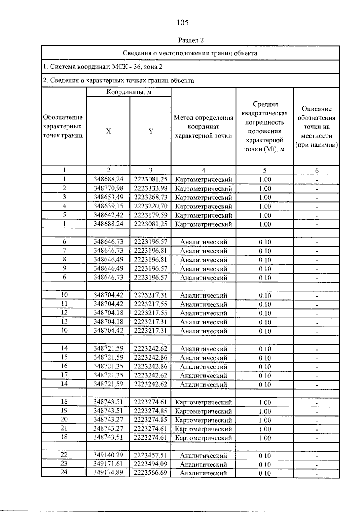
Приказ Департамента архитектуры и градостроительства Воронежской области от 11.08.2023 № 45-01-04/781
"Об утверждении правил землепользования и застройки Старокриушанского сельского поселения Петропавловского муниципального района Воронежской области"
(Зарегистрирован 22.08.2023 № 922)
Номер опубликования: 3601202308300002
Дата опубликования: 30.08.2023
Страница №150 из 207:
Увеличить