Официальное опубликование правовых актов
ОФИЦИАЛЬНОЕ ОПУБЛИКОВАНИЕ
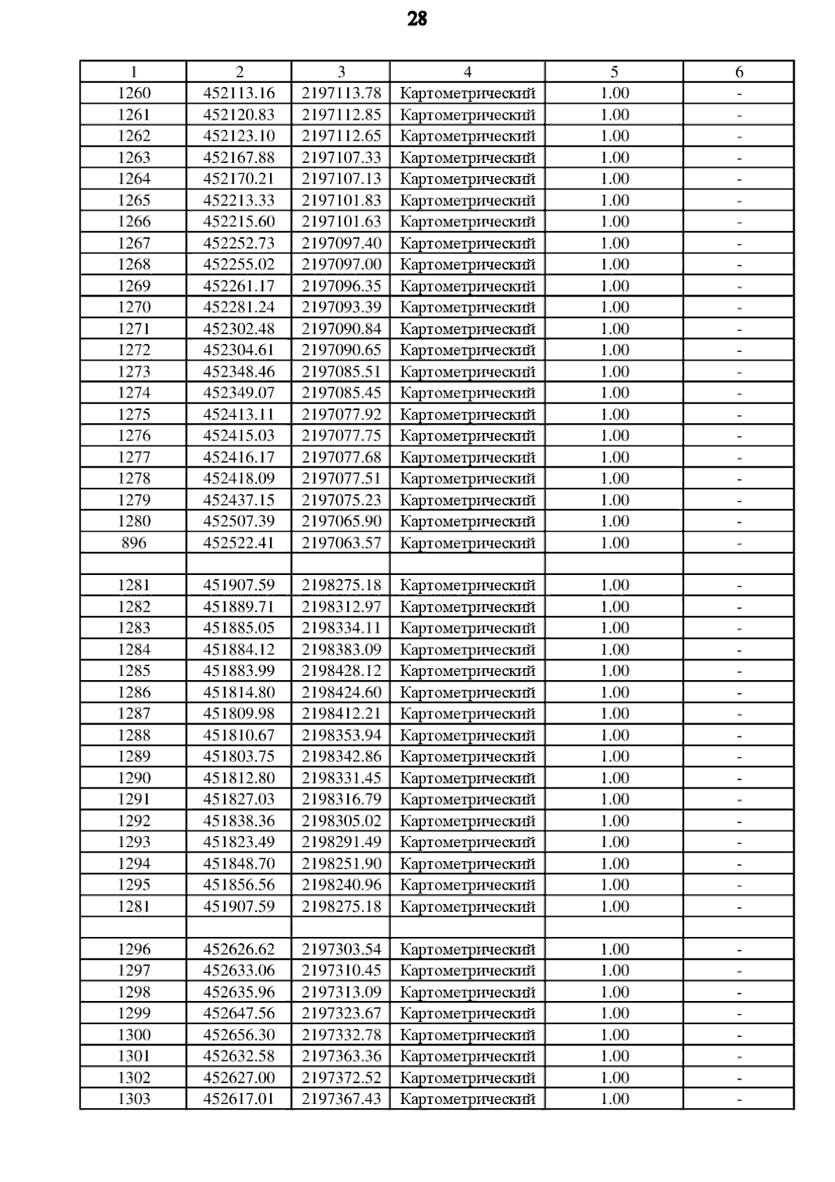
Приказ Департамента архитектуры и градостроительства Воронежской области от 04.08.2023 № 45-01-04/753
"Об утверждении правил землепользования и застройки Таловского городского поселения Таловского муниципального района Воронежской области"
(Зарегистрирован 15.08.2023 № 906)
Номер опубликования: 3601202308160007
Дата опубликования: 16.08.2023
Страница №81 из 221:
Увеличить