Официальное опубликование правовых актов
ОФИЦИАЛЬНОЕ ОПУБЛИКОВАНИЕ
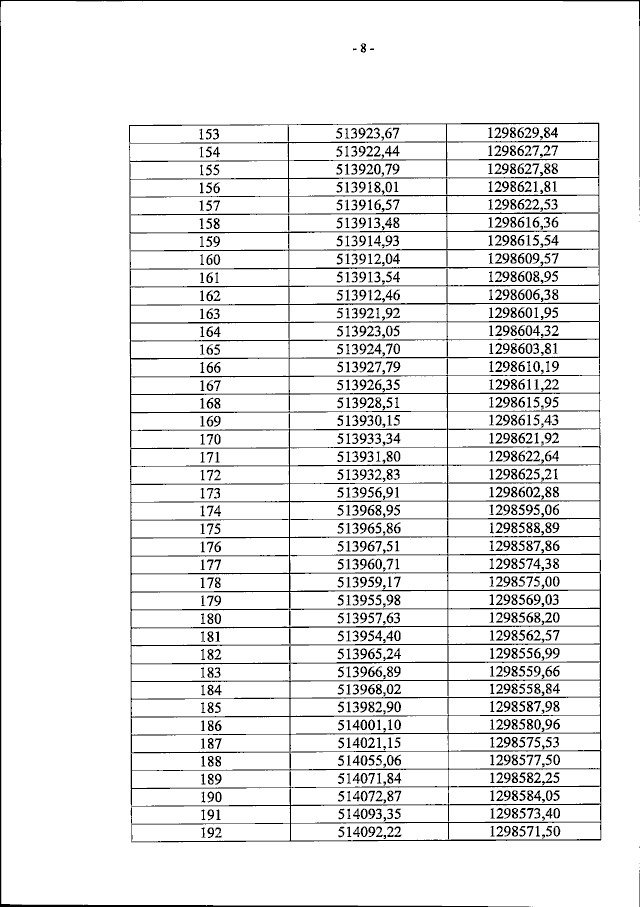
Приказ управления по охране объектов культурного наследия Воронежской области от 20.07.2023 № 71-01-07/343
"О внесении изменений в приказ управления по охране объектов культурного наследия Воронежской области от 26.10.2018 № 71-01-07/228"
(Зарегистрирован 03.08.2023 № 861)
Номер опубликования: 3601202308040009
Дата опубликования: 04.08.2023
Страница №8 из 9:
Увеличить