Официальное опубликование правовых актов
ОФИЦИАЛЬНОЕ ОПУБЛИКОВАНИЕ
Приказ Департамента архитектуры и градостроительства Воронежской области от 24.07.2023 № 45-01-04/688
"Об утверждении правил землепользования и застройки Калиновского сельского поселения Грибановского муниципального района Воронежской области"
(Зарегистрирован 31.07.2023 № 846)
Номер опубликования: 3601202308030008
Дата опубликования: 03.08.2023
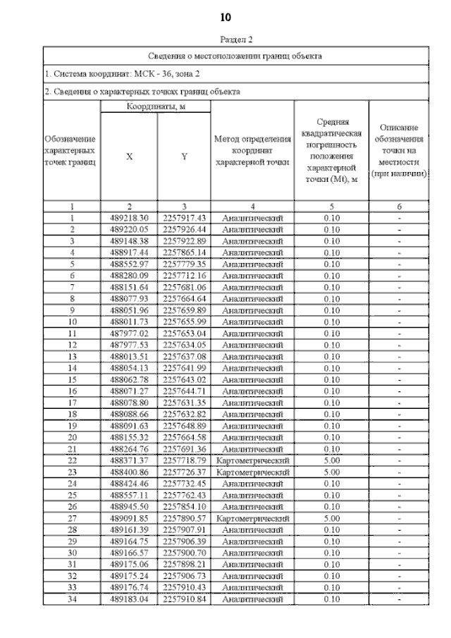
Страница №118 из 141:
Увеличить