Официальное опубликование правовых актов
ОФИЦИАЛЬНОЕ ОПУБЛИКОВАНИЕ
Приказ Департамента архитектуры и градостроительства Воронежской области от 24.07.2023 № 45-01-04/689
"Об утверждении правил землепользования и застройки Землянского сельского поселения Семилукского муниципального района Воронежской области"
(Зарегистрирован 31.07.2023 № 847)
Номер опубликования: 3601202308030007
Дата опубликования: 03.08.2023
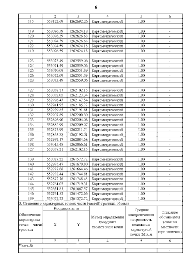
Страница №347 из 400:
Увеличить