Официальное опубликование правовых актов
ОФИЦИАЛЬНОЕ ОПУБЛИКОВАНИЕ
Приказ Департамента архитектуры и градостроительства Воронежской области от 13.07.2023 № 45-01-04/635
"Об утверждении правил землепользования и застройки Первомайского сельского поселения Богучарского муниципального района Воронежской области"
(Зарегистрирован 24.07.2023 № 811)
Номер опубликования: 3601202307260013
Дата опубликования: 26.07.2023
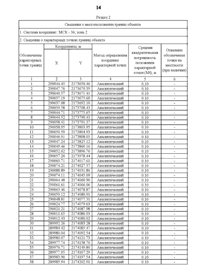
Страница №58 из 190:
Увеличить