Официальное опубликование правовых актов
ОФИЦИАЛЬНОЕ ОПУБЛИКОВАНИЕ
Приказ Департамента архитектуры и градостроительства Воронежской области от 20.07.2023 № 45-01-04/679
"Об утверждении правил землепользования и застройки Первомайского сельского поселения Эртильского муниципального района Воронежской области"
(Зарегистрирован 25.07.2023 № 830)
Номер опубликования: 3601202307260009
Дата опубликования: 26.07.2023
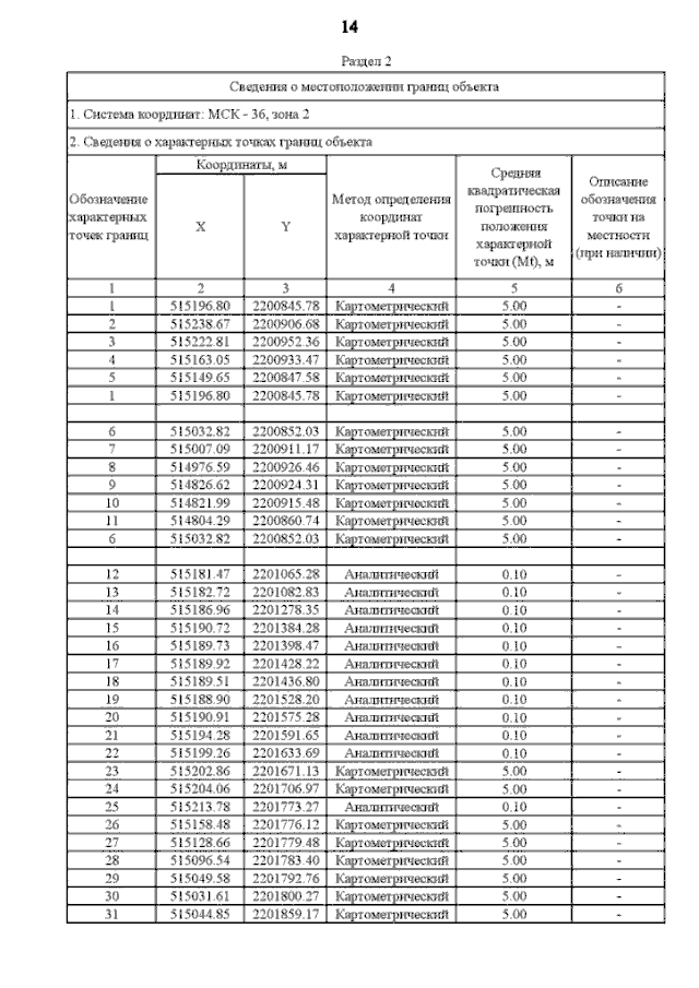
Страница №129 из 246:
Увеличить