Официальное опубликование правовых актов
ОФИЦИАЛЬНОЕ ОПУБЛИКОВАНИЕ
Приказ Департамента архитектуры и градостроительства Воронежской области от 30.06.2023 № 45-01-04/583
"Об утверждении правил землепользования и застройки Репьёвского сельского поселения Репьёвского муниципального района Воронежской области"
(Зарегистрирован 10.07.2023 № 760)
Номер опубликования: 3601202307120011
Дата опубликования: 12.07.2023
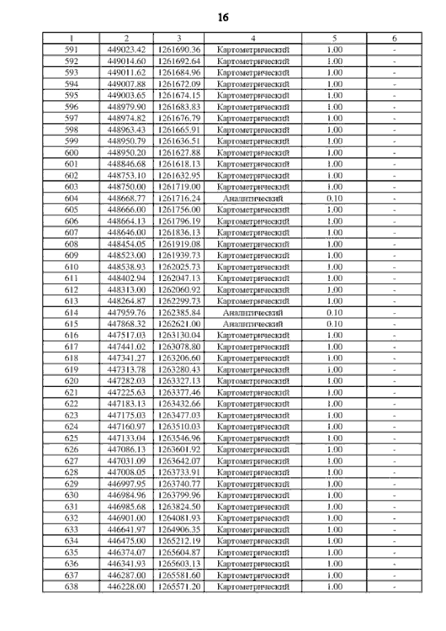
Страница №64 из 221:
Увеличить