Официальное опубликование правовых актов
ОФИЦИАЛЬНОЕ ОПУБЛИКОВАНИЕ
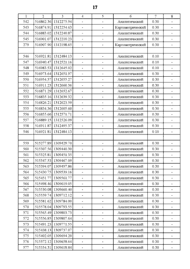
Приказ Департамента архитектуры и градостроительства Воронежской области от 23.06.2023 № 45-01-04/549
"О внесении изменений в правила землепользования и застройки Бабяковского сельского поселения Новоусманского муниципального района Воронежской области"
(Зарегистрирован 10.07.2023 № 754)
Номер опубликования: 3601202307120010
Дата опубликования: 12.07.2023
Страница №23 из 24:
Увеличить