Официальное опубликование правовых актов
ОФИЦИАЛЬНОЕ ОПУБЛИКОВАНИЕ
Приказ Департамента архитектуры и градостроительства Воронежской области от 23.06.2023 № 45-01-04/550
"О внесении изменений в правила землепользования и застройки Хохольского городского поселения Хохольского муниципального района Воронежской области"
(Зарегистрирован 10.07.2023 № 755)
Номер опубликования: 3601202307120009
Дата опубликования: 12.07.2023
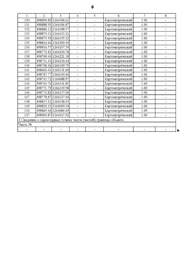
Страница №138 из 151:
Увеличить