Официальное опубликование правовых актов
ОФИЦИАЛЬНОЕ ОПУБЛИКОВАНИЕ
Приказ Департамента архитектуры и градостроительства Воронежской области от 27.06.2023 № 45-01-04/572
"Об утверждении правил землепользования и застройки Осиковского сельского поселения Кантемировского муниципального района Воронежской области"
(Зарегистрирован 10.07.2023 № 757)
Номер опубликования: 3601202307120008
Дата опубликования: 12.07.2023
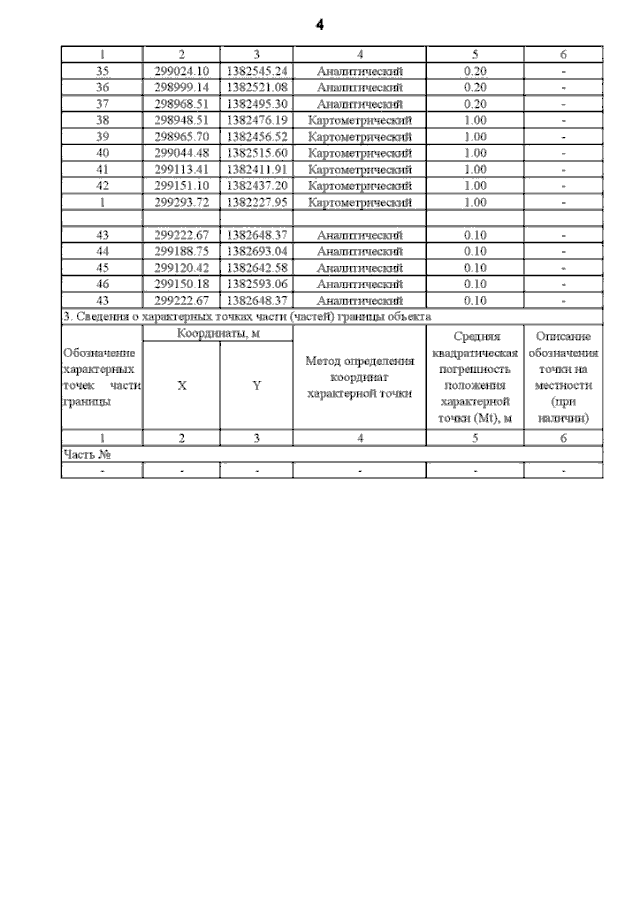
Страница №100 из 203:
Увеличить