Официальное опубликование правовых актов
ОФИЦИАЛЬНОЕ ОПУБЛИКОВАНИЕ
Приказ Департамента архитектуры и градостроительства Воронежской области от 27.06.2023 № 45-01-04/571
"Об утверждении правил землепользования и застройки Титаревского сельского поселения Кантемировского муниципального района Воронежской области"
(Зарегистрирован 10.07.2023 № 756)
Номер опубликования: 3601202307120007
Дата опубликования: 12.07.2023
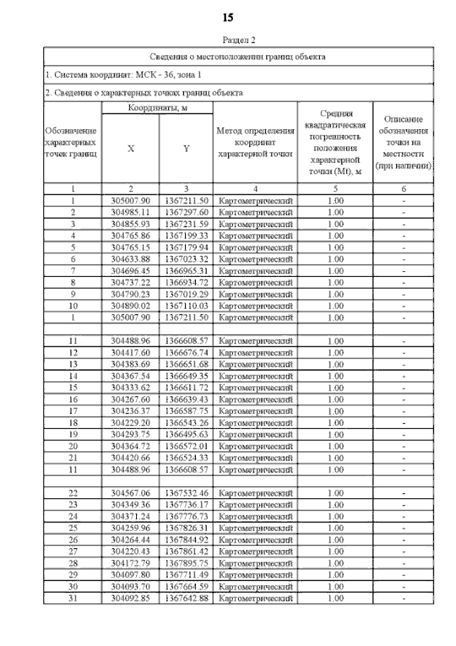
Страница №178 из 183:
Увеличить