Официальное опубликование правовых актов
ОФИЦИАЛЬНОЕ ОПУБЛИКОВАНИЕ
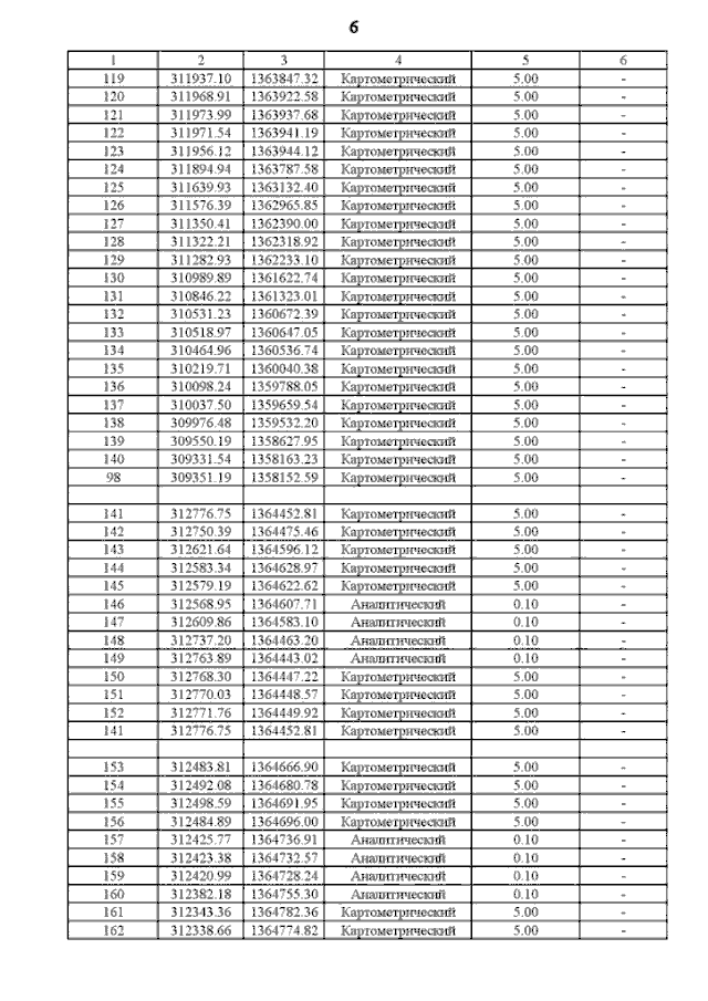
Приказ Департамента архитектуры и градостроительства Воронежской области от 27.06.2023 № 45-01-04/573
"Об утверждении правил землепользования и застройки Таловского сельского поселения Кантемировского муниципального района Воронежской области"
(Зарегистрирован 10.07.2023 № 758)
Номер опубликования: 3601202307120006
Дата опубликования: 12.07.2023
Страница №177 из 186:
Увеличить