Официальное опубликование правовых актов
ОФИЦИАЛЬНОЕ ОПУБЛИКОВАНИЕ
Приказ департамента природных ресурсов и экологии Воронежской области от 04.07.2023 № 296
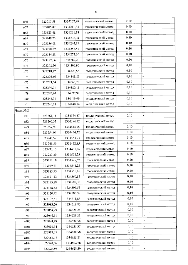
"Об установлении зон санитарной охраны существующих скважин №№ 1, 2 для питьевого, хозяйственно-бытового водоснабжения Сельскохозяйственного потребительского обслуживающего кооператива "Водоснабжение Митрофановского сельского поселения и хутора Новопавловка Михайловского сельского поселения"
(Зарегистрирован 10.07.2023 № 746)
Номер опубликования: 3601202307120004
Дата опубликования: 12.07.2023
Страница №20 из 23:
Увеличить