Официальное опубликование правовых актов
ОФИЦИАЛЬНОЕ ОПУБЛИКОВАНИЕ
Приказ департамента природных ресурсов и экологии Воронежской области от 03.07.2023 № 293
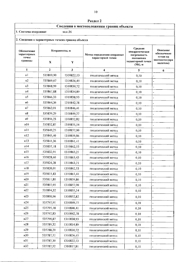
"Об установлении зон санитарной охраны одной существующей скважины № 48469 для питьевого, хозяйственно-бытового водоснабжения Оздоровительно-спортивного комплекса "Летние зори" Федерального государственного бюджетного образовательного учреждения высшего образования "Воронежский государственный лесотехнический университет имени Г.Ф. Морозова"
(Зарегистрирован 10.07.2023 № 745)
Номер опубликования: 3601202307120002
Дата опубликования: 12.07.2023
Страница №12 из 19:
Увеличить