Официальное опубликование правовых актов
ОФИЦИАЛЬНОЕ ОПУБЛИКОВАНИЕ
Приказ Департамента архитектуры и градостроительства Воронежской области от 21.06.2023 № 45-01-04/521
"Об утверждении правил землепользования и застройки Гниловского сельского поселения Острогожского муниципального района Воронежской области"
(Зарегистрирован 05.07.2023 № 730)
Номер опубликования: 3601202307070008
Дата опубликования: 07.07.2023
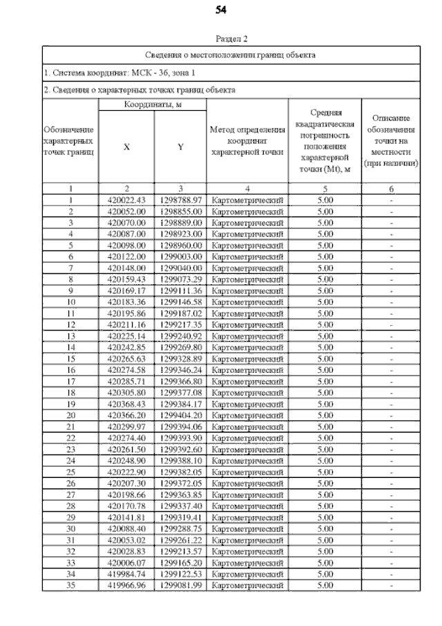
Страница №298 из 305:
Увеличить