Официальное опубликование правовых актов
ОФИЦИАЛЬНОЕ ОПУБЛИКОВАНИЕ
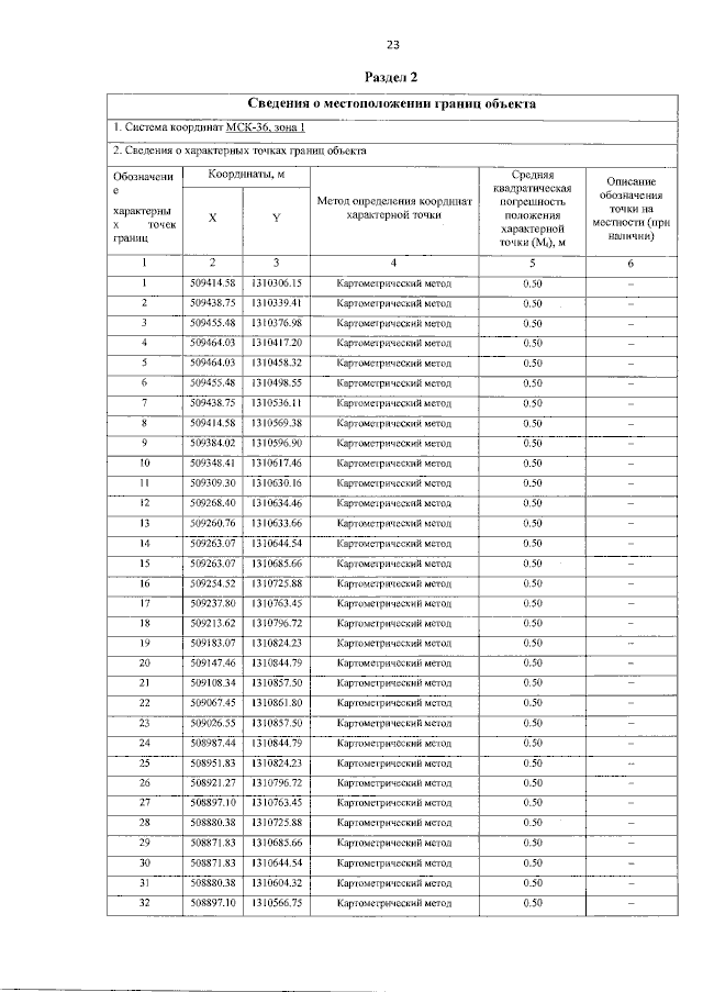
Приказ департамента природных ресурсов и экологии Воронежской области от 13.06.2023 № 268
"Об установлении зон санитарной охраны водозабора в составе двух действующих скважин №№ 57204/2, 73505/3 для питьевого и хозяйственно-бытового водоснабжения АО "Племпредприятие "Воронежское"
(Зарегистрирован 26.06.2023 № 699)
Номер опубликования: 3601202306300006
Дата опубликования: 30.06.2023
Страница №25 из 27:
Увеличить