Официальное опубликование правовых актов
ОФИЦИАЛЬНОЕ ОПУБЛИКОВАНИЕ
Приказ Департамента архитектуры и градостроительства Воронежской области от 13.06.2023 № 45-01-04/493
"Об утверждении правил землепользования и застройки Веретьевского сельского поселения Острогожского муниципального района Воронежской области"
(Зарегистрирован 21.06.2023 № 676)
Номер опубликования: 3601202306230008
Дата опубликования: 23.06.2023
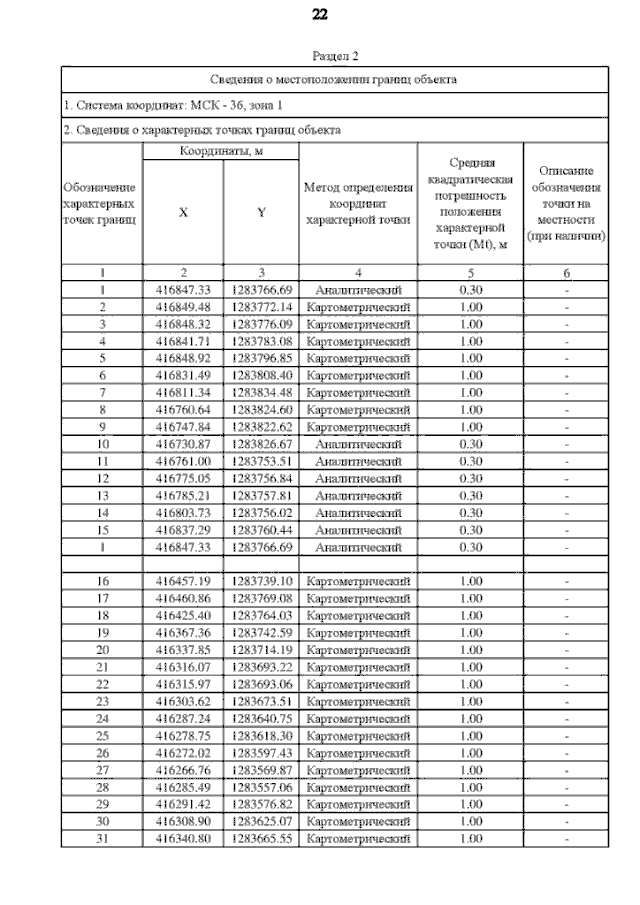
Страница №108 из 148:
Увеличить